Magna Concursos

Foram encontradas 485 questões.

3406795 Ano: 2016
Disciplina: Engenharia Mecatrônica
Banca: IF-RS
Orgão: IF-RS

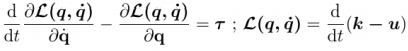
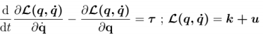
Marque a alternativa que expressa corretamente às equações de movimento no espaço das juntas segundo o formalismo de Euler-Lagrange, sendo q o vetor de variáveis independentes, k a energia cinética, u a energia potencial, L o Lagrangeano e τ o torque:

 

Provas

Questão presente nas seguintes provas

Dentre as propriedades fundamentais e que tornam os catalisadores extremamente importantes para a indústria, a afirmativa INCORRETA é:

 

Provas

Questão presente nas seguintes provas

Sobre os reatores multifásicos de leito de lama e gotejante, assinale a alternativa em que (todas) a(s) afirmativa(s) está(ão) CORRETA(S):

I. A maioria dos reatores mutifásicos envolve fases gasosas e líquidas que estão em contato com um sólido.

II. No caso dos reatores de leito de lama e de leito gotejante, a reação entre o gás e o líquido ocorre na superfície de um catalisador sólido. Porém, em alguns casos, o líquido é inerte e está presente apenas para facilitar o contato do gás com o catalisador sólido.

III. O reator de leito de lama é um exemplo de um reator de escoamento multifásico no qual o reagente gasoso é borbulhado através de uma solução contendo as partículas de catalisador sólido.

 

Provas

Questão presente nas seguintes provas
3406792 Ano: 2016
Disciplina: Química
Banca: IF-RS
Orgão: IF-RS

Para uma reação ocorrendo em condições isotérmicas, o fator de efetividade interno, que é uma medida de quanto o reagente se difunde na partícula de catalisador antes de ser consumido, assume valores entre 0 e 1. Sobre o fator de efetividade interno, em condições isotérmicas, é CORRETO afirmar:

 

Provas

Questão presente nas seguintes provas

Em um reator semicontínuo CSTR, operando em regime não estacionário, ocorre uma reação do tipo A + B C + D. Os reagentes A e B são carregados simultaneamente e um dos produtos é vaporizado e retirado continuamente. A remoção de um dos produtos desta maneira desloca o equilíbrio em direção à direita, aumentando a conversão final e concentrando ainda mais o reagente. Escolha a afirmativa que define CORRETAMENTE este processo:

 

Provas

Questão presente nas seguintes provas

A equação mais utilizada para calcular a perda de pressão em um reator de leito de recheio poroso é a Equação de Ergun:

dz dP = ρq c D p G ( Φ 3 1Φ ) [ D p 150(1Φ)μ + 1, 75G]

Onde:

P = pressão, lb/ft2

Φ = porosidade = volume de vazios/volume total do leito

1- Φ = volume de sólido/volume total do leito

gc = 32,174 lbm.ft/s2.lbf (fator de conversão)

Dp = diâmetro da partícula no leito, ft

μ = viscosidade do gás passando através do leito, lbm/ft.h

z = posição ao longo do tubo do reator recheado, ft

u = velocidade superficial, ft/h

ρ = massa específica do gás, lb/ft3

G = ρu = velocidade mássica superficial, (g/cm2.s) ou (lbm/ft2.h)

Sobre o escoamento através de um leito de recheio e a equação de Ergun, identifique qual(is) afirmativa(s) está(ao) CORRETA(S):

I. A maioria das reações em fase gasosa é catalisada passando-se o reagente através de um leito de recheio com partículas de catalisador.

II. No cálculo da perda de pressão usando a equação de Ergun, o único parâmetro que não varia com a pressão no lado direito desta equação é a massa específica do gás, ρ.

III. Sendo o reator operado em regime estacionário, a vazão mássica em qualquer ponto ao longo do reator, é igual a vazão mássica de entrada.

 

Provas

Questão presente nas seguintes provas
3406789 Ano: 2016
Disciplina: Química
Banca: IF-RS
Orgão: IF-RS

Abaixo estão relacionadas as unidades da velocidade específica de reação, kA, para uma reação envolvendo apenas um reagente do tipo: A produtos. Identifique a ordem de reação e a relacione à sua unidade correspondente.

(1) Ordem zero

(2) Primeira ordem

(3) Segunda ordem

(4) Terceira ordem

( ) {k} = s 1

( ) {k} = (dm) 3 /mol s

( ) {k} = mol/ (dm) 3 s

( ) {k} = (dm 3/mol) 2 s 1

A sequência CORRETA para esta relação, de cima para baixo é:

 

Provas

Questão presente nas seguintes provas

Uma reação de ordem zero, do tipo A B, é conduzida isotermicamente em um reator de escoamento contínuo. A vazão volumétrica de entrada é constante e de 8 dm3/h. Considerando uma velocidade de reação de r A = k = 0, 05 h.dm 3 mol para que haja o consumo 99% de A quando a vazão molar de entrada for de 4 mol/h, qual deve ser o volume do reator tubular?

 

Provas

Questão presente nas seguintes provas

Da equação de projeto para um reator tubular com escoamento uniforme, PFR, dada por:

dV dF j = r j

podemos concluir que a extensão da reação conseguida neste tipo de reator INDEPENDE:

 

Provas

Questão presente nas seguintes provas

Com relação ao Reator Tanque-Agitado Contínuo (CSTR) ou reator de retromistura:

I. O CSTR normalmente é operado em regime estacionário e de forma a se obter uma mistura muito boa.

II. O CSTR é geralmente modelado como não possuindo variações espaciais na concentração, temperatura ou velocidade de reação através do tanque.

III. Em sistemas onde a mistura é altamente não-ideal o modelo de boa mistura não é adequado para a modelagem do reator CSTR, sendo necessário trabalhar com outras variáveis, tais como o tempo de residência.

Assinale a alternativa em que (todas) a(s) afirmativa(s) está(ão) CORRETA(S):

 

Provas

Questão presente nas seguintes provas