Foram encontradas 50 questões.
Associe os métodos físicos de análise utilizados na química inorgânica às suas respectivas definições:
I Espectroscopia ultravioleta-sensível
II Espectroscopia infravermelha e Roman
III Ressonância magnética nuclear
IV Espectroscopia de massa
( ) É o método pelo qual se pode medir a razão massacarga de um íon gasoso. Os íons podem ser carregados positiva ou negativamente. Normalmente deduz-se a carga de um íon e, portanto, a massa da espécie.
( ) É o método espectroscópico mais poderoso e mais usado para a determinação de estruturas moleculares em solução e de líquidos puros. Em muitos casos, o método em questão fornece informações sobre a forma e a simetria com maior confiabilidade quando comparado a outras técnicas.
( ) Trata-se do método pelo qual se realiza a observação da absorção de radiação eletromagnética nas regiões do visível e do ultravioleta do espectro. É muitas vezes chamada de espectroscopia eletrônica, pois a energia é utilizada para excitar espécies para níveis de energia eletrônicos mais altos.
( ) Trata-se do método utilizado para caracterizar compostos em termos da força e do número de ligações que estão presentes. É usado também para detectar a presença de compostos conhecidos, acompanhar as variações de concentração de uma espécie durante uma reação, e determinar os constituintes de um composto desconhecido, entre outras funções.
Assinale a alternativa que apresenta a ordem CORRETA de correlação de cima para baixo:
Provas
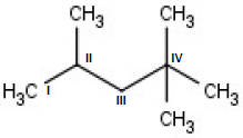
Sabendo que na estrutura do composto 2,2,4 trimetilpentano representada abaixo, há carbonos que podem ser classificados como primários, secundários, terciários e quaternários, assinale a alternativa que apresenta a classificação CORRETA dos carbonos I, II, III e IV, respectivamente.

Provas
Analise a estrutura abaixo e assinale a alternativa que explicita o número correto de carbonos assimétricos da molécula em questão:

Provas
Dada a representação esquemática do composto orgânico a seguir, assinale a alternativa que contenha as estruturas necessárias para que tenhamos uma isomeria óptica:

Provas
Considerando a reação gasosa N2 + H2 → NH3, assinale a alternativa em que é apresentada a massa em g de NH3, quando este é submetido a uma reação com 22 g de H2.
(Dados: massa molecular: N= 14; H=1)
Provas
Os gases nobres possuem a sua última camada da eletrosfera completa, ou seja, com oito elétrons, de modo que são encontrados de forma isolada na atmosfera. Tendo em vista a tabela periódica, assinale a alternativa que apresenta apenas gases nobres:
Provas
Assinale a alternativa que explicita a denominação do processo de separação de duas ou mais substâncias sólidas, usando um líquido que dissolva apenas uma das substâncias em questão:
Provas
Podemos definir o processo de sublimação como sendo:
Provas
Assinale a alternativa que identifica o processo de passagem da água para o gelo.
Provas
Assinale a alternativa que apresenta as funções para as estruturas destacadas na molécula a seguir:

Provas
Caderno Container