Foram encontradas 30 questões.
Sejam \( n \)1 ,\( n \)2 e \( n \)3 números reais, tais que \( f \)(\( x \)) = \( n \)3 \( c \)\( o \)\( s \)(2\( x \)) + \( n \)2\( c \)\( o \)\( s \)(3\( x \)) + \( n \)1. Sabendo que \( f \)(0) = \( f \) ' (0) = \( f \) ''(0) = 0 e \( f \)(\( \dfrac{\pi}{6} \) ) = \( \dfrac{1}{2} \) , a soma dos quadrados dos coeficientes \( n \)1 , \( n \)2 , \( n \)3 da função \( f \) é
Provas
Na figura que segue, temos um pentágono regular de lado \( l \), onde os encontros de todas as suas diagonais geram um outro pentágono regular.

Fonte: FUNCERN, 2025.
Sabendo que \( c \)\( o \)\( s \) 360 = \( \dfrac{\sqrt{5}+1}{4} \) , o lado do pentágono regular menor em função de \( l \) é
Provas
Um empresário investiu 25% do seu capital a juros compostos de 15% ao mês e o restante a 18% ao mês. A taxa média de juros obtida após um mês é de
Provas
Considerando uma matriz quadrada de ordem n, sobre as propriedades básicas do determinante, pode-se afirmar, corretamente, que
Provas
A amplitude e a frequência da função \( y \)(\( x \)) = 2\( f \)(\( x \) + 2) são, respectivamente, iguais a 6 e \( \dfrac{1}{4\pi} \) . Considere os pontos \( A \), \( B \) e \( C \) as interseções da curva \( f \)(\( x \)) = \( R \)\( c \)\( o \)\( s \)(\( k \)\( x \)) com os eixos cartesianos, conforme a figura a seguir.

Fonte: FUNCERN, 2025.
A área do triângulo, em unidades de área, formada pelos pontos \( A \), \( B \) e \( C \) é equivalente a
Provas
Um número inteiro positivo \( N \) é composto por quatro algarismos, de modo que \( N \) = 7\( X \)\( Y \)2. Sabendo que esse número é múltiplo de 11 e divisível por 7, o resto de sua divisão por 9 é igual a
Provas
Sejam \( A \), \( B \) e \( C \) matrizes quadradas de ordem 4 e não singulares. Sabendo que \( d \)\( e \)\( t \)(\( B \) −1) = 2, \( d \)\( e \)\( t \)[(\( B \)\( A \))−1 + 3\( I \)] = 5 e sendo \( I \) a matriz identidade de ordem 4 e \( C \) = −2(\( A \)−1 + 3\( B \))\( t \) , o valor do determinante da matriz \( C \) é
Provas
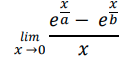
Sejam \( a \) e \( b \) números reais não nulos. O resultado do limite que segue é igual a

Provas
Considere a função \( y \)(\( x \)) = \( \dfrac{3\sec x-5\cos\sec x}{13\sec x+7\cos\sec x} \) , que está definida para valores de \( x \) no intervalo [0, \( \dfrac{\pi}{2} \) ] . Se, em um ponto específico do domínio, a condição \( c \)\( o \)\( t \)\( g \)\( x \) = \( \dfrac{5}{13} \) é satisfeita, então o valor de \( y \), nesse ponto, é
Provas
Na figura a seguir, estão representadas as curvas das funções \( f \)(\( x \)), \( g \)(\( x \)) e h(\( x \)).

A soma das áreas das regiões pintadas, delimitadas entre as funções, conforme a ilustração, é igual a
Provas
Caderno Container