Foram encontradas 70 questões.
Provas
Segundo Bethlem (2003:12) as fases de evolução do planejamento estratégico formal são (1), (2), (3) e (4).
Assinale a alternativa que melhor completa a afirmação do autor.
Provas
- Gestão de ProcessosOrganizações, Sistemas e Métodos
- PODC: Processo OrganizacionalProcesso Administrativo: OrganizaçãoEstrutura Organizacional
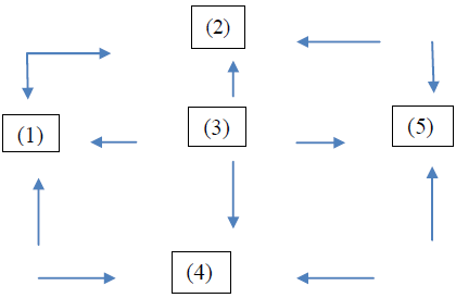
São cinco os tipos de mudanças organizacionais conforme apresentado em DAFT (2005:281) que podem ser representadas conforme o esquema abaixo:

Assinale a alternativa que melhor completa o esquema acima.
Provas
Avalie as afirmativas e indique se são falsas ou verdadeiras no que se refere às ferramentas de análise ambiental quando da realização do planejamento estratégico:
a) Matriz SWOT – insere-se no campo da análise do ambiente e é comumente empregada em processos de planejamento estratégico para avaliação do posicionamento da organização e sua capacidade de competição;
b) Balanced Scorecard – sistema de gerenciamento estratégico que monitora as estratégias da organização por meio de mecanismos de mensuração; e
c) Análise de Cenários – ferramenta de planejamento estratégico e de gestão da qualidade total e deve orientar as corporações a buscar fatores críticos de sucesso que influenciam a sua produtividade e resultados (TARAPANOFF, 2001)
Indique qual alternativa é correta.
Provas
O enfoque participativo não é somente um instrumento para a resolução de problemas, mas também uma necessidade do homem auto afirmar-se, interagir em sociedade, criar, realizar, contribuir e sentir-se útil.
Porque
é um instrumento muito eficaz para aumentar a motivação e o entusiasmo das pessoas, contribuindo para a expressão do pleno potencial de uma organização.
(CORDIOLI, 2010:22)
Sobre as duas afirmativas é correto afirmar que
Provas
Provas
Conhecido como modelo taylorista-fordista esse sistema de gerenciamento provoca a intensificação da divisão social do trabalho
porque
existe uma rigorosa separação entre as fases de concepção e execução do processo produtivo, rígida hierarquia funcional e extremo controle e burocratização gerando dois níveis bastante diferenciados de trabalhadores.
(SENAC.DN, 1996: 34)
Sobre as duas afirmativas, é correto afirmar que
Provas
- Gestão de ProcessosOrganizações, Sistemas e Métodos
- PODC: Processo OrganizacionalProcesso Administrativo: OrganizaçãoEstrutura OrganizacionalEstruturas de Mintzberg
Para Mintzberg (1995:12) cinco mecanismos podem abranger as maneiras fundamentais pelas quais as organizações coordenam as suas tarefas. São eles: ajustamento mútuo, supervisão direta, padronização dos processos de trabalho, padronização dos resultados; e padronização das habilidades dos trabalhadores.
Considerando as características do pensamento do autor, analise as afirmações que se seguem:
I – os processos são padronizados quando a coordenação do trabalho ocorre pelo processo simples da comunicação informal;
II – a supervisão direta consegue a coordenação por meio de uma pessoa tendo a responsabilidade pelo trabalho dos outros, dando instruções a eles e monitorando suas ações;
III – o ajuste mútuo ocorre quando as execuções do trabalho são especificadas ou programadas;
IV – as saídas são padronizadas quando os resultados do trabalho são especificados;
V – as habilidades e conhecimentos são padronizados quando o tipo de treinamento necessário para executar o trabalho é especificado.
Estão de acordo com o pensamento de Mintzberg as afirmações:
Provas
Provas
Segundo Wahrlich (1986:8), a teoria de organização pode ser apreciada considerando quatro concepções.
Assinale a alternativa que melhor responde a afirmação da autora.
Provas
Caderno Container