Foram encontradas 60 questões.
Um engenheiro está realizando alguns testes em um novo produto que será lançado no mercado. A probabilidade de o produto ser funcionalmente defeituoso depende de sabermos da presença ou ausência de uma determinada falha. Para tanto, o engenheiro montou uma tabela com os seguintes resultados:

Determine (i) a probabilidade de que o produto seja funcionalmente defeituoso dado que tenha sido identificada falha; e (ii) a probabilidade de o produto ser funcionalmente defeituoso dado que não foi identificada falha.
Provas
A equipe responsável pelo projeto de instalação de uma nova planta industrial estuda a melhor localização para esta unidade e decide utilizar o método do ponto de equilíbrio. A empresa espera vender 25.000 unidades anualmente, ao preço médio de R$ 1.500,00 por unidade. Na tabela a seguir, são apresentados os custos fixos e variáveis de cada localidade.
|
Cidade |
Custos fixos anuais |
Custos variáveis unitários |
|
Cuiabá |
R$ 20.000.000,00 |
R$ 650,00 |
|
Rondonópolis |
R$ 15.000.000,00 |
R$ 750,00 |
|
Sinop |
R$ 12.500.000,00 |
R$ 850,00 |
|
Cáceres |
R$ 17.000.000,00 |
R$ 900,00 |
|
Tangará da Serra |
R$ 20.000.000,00 |
R$ 600,00 |
Com base nessas informações, determine a melhor localização tendo como parâmetro o menor ponto de equilíbrio:
Provas
Um engenheiro está analisando a confiabilidade de um processo. Os seus componentes estão interligados de modo que formam um sistema misto (série e paralelo). Foram realizadas medições de confiabilidade individuais dos componentes, apresentadas no diagrama abaixo:

Considerando o conceito de confiabilidade de sistemas, bem como as informações apresentadas, analise as seguintes afirmações:
|- A confiabilidade de um sistema em série nunca será maior do que a confiabilidade do componente menos confiável.
Il- Se considerarmos dois sistemas independentes, um em série e outro em paralelo, em que cada um dos dois sistemas possui dois componentes, e se cada um destes componentes tiver a mesma confiabilidade individual, a confiabilidade do sistema em série será maior do que a confiabilidade do sistema em paralelo.
IIl - A confiabilidade de um sistema depende da forma como seus componentes estão arranjados — quanto menor for a dependência entre os componentes, maior será a confiabilidade do sistema.
IV - A confiabilidade do sistema apresentado na figura é de aproximadamente 0,99. V- A confiabilidade do sistema apresentado na figura é de aproximadamente 0,73.
Somente está CORRETO o que se afirma em:
Provas
Um engenheiro de produção decide calcular a previsão de demanda pela média móvel ponderada considerando a demanda real dos três meses anteriores. Em uma reunião entre a diretoria e a equipe de vendas, foi constatado que a influência destes períodos para definição dos pesos das previsões é de 20%, 30% e 50% para os últimos três meses, respectivamente. Os dados das demandas reais dos últimos três períodos, em unidades, são:
- Janeiro: 600 unidades.
- Fevereiro: 500 unidades.
- Março: 700 unidades.
Com base nessas informações, a previsão de demanda para o quarto período (mês de abril) é de:
Provas
A formação de preços é um aspecto estratégico importante, que tem impacto direto sobre as operações logísticas. Os termos e condições da formação de preços determinam qual das partes é responsável pela realização de atividades logísticas. Uma grande tendência na estratégia de preços tem sido a desvinculação do preço de produtos e materiais para que serviços como transportes, que eram tradicionalmente incluídos no preço, se tornem itens separados e visíveis. As práticas de formação de preços têm impacto direto sobre a programação e a estabilidade das operações logísticas (BOWERSOX, 2014, p. 222).
(BOWERSOX, Donald ).; CLOSS, David J.; COOPER, M B.; et al. Gestão logística da cadeia de suprimentos. - 4. ed. - Dados eletrônicos. - Porto Alegre : AMGH, 2014, p. 222)
Considerando o conceito de preço na origem e preço na entrega, relacione esses conceitos com as suas respectivas descrições, apresentadas a seguir:
I - FOB (Free on Board) Il - CIF (Cost Insurance and Freight)
X - Significa que o vendedor estabelece um preço que inclui o transporte. Em outras palavras, o custo de transportes não é especificado como um item separado. Todo o transporte da mercadoria, incluindo os custos e riscos, é de total responsabilidade do vendedor.
Y - Significa que o comprador é responsável pelo custo do frete e pelo risco enquanto o produto estiver em trânsito. Sendo assim, qualquer alteração no fracionamento do peso que necessite um método de carregamento com tempo de trânsito diferente deve ser considerada, sendo o custo ou as economias adicionais relevantes na análise do custo total.
Provas
É solicitado a um engenheiro de produção gerenciar as etapas de instalação de uma nova centrífuga no setor pelo qual é responsável. O engenheiro avalia que a instalação do equipamento será melhor realizada se fizer a programação de suas etapas de acordo com a técnica PERT/CPM. Ele identificou 8 etapas e 10 atividades (A a )) necessárias para execução do projeto. Na figura abaixo, é apresentada a rede PERT/CPM do projeto com as atividades, suas durações, bem como cada uma de suas atividades precedentes.

Considerando que o engenheiro não pode atrasar a instalação da centrífuga, ele necessita saber o caminho crítico com base na sequência de atividades. Assim, identifique qual sequência de atividades configura o caminho crítico para que o engenheiro consiga direcionar maiores esforços e não deixar atrasar o projeto da instalação do equipamento:
Provas
O Diagrama de Causa e Efeito foi criado por Kaoru Ishikawa na Universidade de Tóquio em 1943 para uso pelos Círculos de Controle da Qualidade (CCQs). Este diagrama é considerado uma das 7 ferramentas básicas da qualidade, sendo esta uma poderosa ferramenta para identificar as causas potenciais que contribuem para um efeito ou problema determinado.
Em relação ao diagrama de Ishikawa, considere as seguintes afirmações:
|- O diagrama de Ishikawa frequentemente é utilizado em etapas ou fases do ciclo PDCA, MASP, DMAIC, entre outros.
Il- Para construção do diagrama de Ishikawa, as causas potenciais, obrigatoriamente, devem ser comprovadas através de uma correlação direta, utilizando-se análise estatística.
III - A utilização do brainstorming não é recomendada como auxílio para construção do diagrama de Ishikawa, pois é muito subjetiva, o que levaria a erros de julgamento pela equipe executora da análise.
IV - Um dois oito passos para construção do diagrama, proposto por Kaoru Ishikawa, é colocar o efeito/ problema na parte direita do diagrama, da forma mais clara possível, e desenhar uma seta horizontal que aponte para ele.
V- Em sua construção, devem-se escrever as causas secundárias em “galhos” do galho principal que lhes correspondam. O processo continua descendo a níveis inferiores (terceiro nível, quarto nível, quinto nível etc.), até que se encontrem todas as causas mais prováveis.
Somente está CORRETO o que se afirma em:
Provas
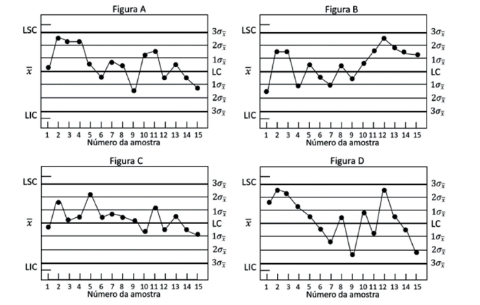
A avaliação de padrões em gráficos de controle é muito importante na análise do controle estatístico da qualidade. Um gráfico de controle pode indicar uma condição fora de controle quando um ou mais pontos se localizam além dos limites de controle, ou quando os pontos marcados exibem algum padrão de comportamento não aleatório. O Statistical Quality Control Handbook (Manual do Controle Estatístico da Qualidade) (1956) da Western Electric sugere um conjunto de regras de decisão para a detecção de padrões não aleatórios em gráficos de controle (MONTGOMERY, 2016, p. 139).
(MONTGOMERY, Douglas C. Introdução ao Controle Estatístico da Qualidade, 7º edição. Grupo GEN, 2016, p. 139)
Montgomery (2016) apresenta 10 regras que complementam as regras da Western Electric. Considerando estas regras analise o gráfico de controle de X (x barra) a seguir e considere as afirmações:

|- Todas as figuras apresentam processo considerado como fora de controle.
Il- A figura A apresenta processo dentro de controle, pois, apesar de apresentar dois ou três pontos consecutivos fora dos limites de alerta dois sigmas, estes ainda estão dentro do limite superior de controle.
IIl - A figura B apresenta processo fora de controle, pois apresenta quatro ou cinco pontos consecutivos além dos limites de um sigma.
IV - Segundo estas regras, a figura C apresenta processo dentro de controle.
V- A figura D apresenta processo considerado fora de controle, pois apresenta seis ou mais pontos em uma sequência decrescente.
Somente está CORRETO o que se afirma em:
Provas
De acordo com Corrêa et al. (2018), a técnica ABC é uma forma de classificarmos todos os itens de estoque de determinado sistema de operações em três grupos, baseados em seu valor total anual de uso. O objetivo é definirmos grupos para os quais diferentes sistemas de controle de estoque serão mais apropriados, resultando em um sistema total mais eficiente em custos.
(CORRÊA, Henrique L.; GIANESI, Irineu Gustavo N.; CAON, Mauro. Planejamento, Programação e Controle da Produção - MRP Il / ERP, 6º edição. Grupo GEN, 2018. p. 69)
Considerando o conceito da curva ABC e observando o gráfico abaixo, considere as afirmações:

Figura. Ilustração da curva ABC
|- A curva ABC segue o mesmo princípio do Diagrama de Pareto, obedecendo à relação aproximada 80- 20.
Il- Na região C, ficam situados os produtos com alto valor e alta taxa de utilização ou demanda.
lIl - Na região classificada como A, poucos itens são responsáveis por grande parte do valor de uso total. Logo, estes deveriam ser os itens a merecerem maior atenção gerencial, para os quais vale mais a pena manter controles de estoque mais precisos e rigorosos.
IV - Considerando que o objetivo da curva ABC é definir grupos para os quais diferentes sistemas de controle serão mais apropriados, podemos dizer que o sistema de revisão periódica (sistema mais simples, barato e menos rigoroso) poderia ser uma alternativa para controle de itens mais à esquerda da curva ABC. Já o sistema de ponto de reposição (sistema de custo operacional mais alto e mais “rigoroso” poderia ser uma alternativa para gerenciar itens mais mais à direita da curva.
V- Na curva ABC, em abscissas, temos os itens ordenados da esquerda para a direita, da maior para a menor porcentagem de investimento que representam. A porcentagem acumulada do investimento é colocada em ordenadas.
Somente está CORRETO o que se afirma em:
Provas
O Lote Econômico de Compra (LEC) é utilizado como recurso de um sistema de controle de estoques de demanda independente. Considerando o conceito do lote econômico de compra e desconsiderando a sensibilidade do custo total anual, analise a tabela e o gráfico a seguir e considere as afirmações:
Pedido (L) | Custo de amazenagem (CA) Ce*L/2 | Custo de pedido (CP) Cf*DA/L | Custo total (CT) CA+CP |
300 | R$ 75,00 | R$ 200,00 | R$ 275,00 |
400 | R$ 100,00 | R$ 150,00 | R$ 250,00 |
500 | R$ 125,00 | R$ 120,00 | R$ 245,00 |
600 | R$ 150,00 | R$ 100,00 | R$ 250,00 |
700 | R$ 175,00 | R$ 85,71 | R$ 260,00 |
800 | R$ 200,00 | R$ 75,00 | R$ 275,00 |
900 | R$ 225,00 | R$ 66,67 | R$ 291,67 |

|- Otamanho do lote que deve ser adquirido é de 200 unidades, pois é aquele que leva ao menor custo de armazenagem (CA).
Il- O tamanho do lote que deve ser adquirido é de 500 unidades, pois é aquele que leva ao menor custo total (CT).
III - O tamanho do lote que deve ser adquirido é aquele em que o custo de armazenagem se iguala ao custo de pedido, sendo esta a quantidade que minimiza os custos totais.
IV - Analisando a tabela e o gráfico, o tamanho do lote que deve ser adquirido está entre 400 e 500 unidades.
V- Analisando a tabela e o gráfico, o tamanho do lote que deve ser adquirido está entre 500 e 600 unidades ou entre 400 e 500 unidades, pois em qualquer um destes valores de tamanho de lote o custo total será mínimo.
Somente está correto o que se afirma em:
Provas
Caderno Container