Foram encontradas 40 questões.
Sejam X ⊂ ℝ um conjunto de números reais, ƒ: X → ℝ uma função real cujo domínio é X e a ∈ X ' um ponto de acumulação do conjunto X. Negar que o número real L é limite de ƒ(x) quando x tende para a , equivale a dizer que:
I - ∀ ∈ > 0 ∃δ > 0; x ∈ X, 0 < | x — a| < 8 ⇒ |ƒ(x) — L| < ∈.
II - Existe um número ∈ > 0 com a seguinte propriedade: seja qual for δ > 0, pode-se sempre achar xδ ∈ X tal que 0 < |xδ — a| < δ e |ƒ(xδ) — L| ≥ ∈.
III - ∀∈ ≥ 0 ∃δ ≥ 0; x ∈ X, 0 ≤ |x — a| ≤ δ ⇒ |ƒ(x) — L| ≤ ∈.
IV - Existe um número ∈ ≥ 0 com a seguinte propriedade: seja qual for δ ≥ 0, pode-se sempre achar xδ ∈ X tal que 0 ≤ |xδ — a| ≤ δ e |ƒ(xδ) — L| ≤ ∈.
Pode-se concluir que:
Provas
Considere as seguintes definições acerca das cônicas A, B e C:
I - Definição da Cônica A: Sejam F1 e F2 dois pontos pertencentes a um plano π. O lugar geométrico do ponto P pertencente a π, cujo módulo da diferença das distâncias de P a F1 e P a F2 é igual a uma constante r, com r menor que a distância entre F1 e F2, é chamado de A de focos F1 e F2, ou seja,
A = {P: |d(P,F1) - d(P,F2)| = r}
II - Definição da Cônica B: Sejam F1 e F2 dois pontos pertencentes a um plano π. O lugar geométrico do ponto P pertencente a π, onde a soma das distâncias de P a F1 e P a F2 é igual a uma constante r, com r maior que a distância entre F1 e F2, é chamado de B de focos F1 e F2, ou seja,
B={P : d(P , F1) + d(P ,F2) = r}
III- Definição da Cônica C: Sejam
uma reta e F um ponto do plano não pertencente a
. O lugar
geométrico C de foco F e diretriz
é o lugar geométrico dos pontos do plano cuja distância ao ponto
F é igual a sua distância a reta
, ou seja,
C ={P : d (P, F) = d(P,
)}
De acordo com as definições acima, é correto dizer que:
Provas
Provas
Provas
Provas
Provas
- FunçõesFunção de 1º Grau (Afim)
- FunçõesFunção de 2º Grau (Quadrática)
- FunçõesFunção Logarítmica
- FunçõesFunção Exponencial
- FunçõesFunção Modular
Considere as asserções:
I. A função ƒ: ℝ → ℝ, definida por ƒ(x) = 2x - 5 tem como função inversa ƒ-1: ℝ → ℝ, definida
por
.
II. A função ƒ: ℝ - {3} → ℝ — {-1}, definida por
admite a função inversa ƒ: ℝ - {3} → ℝ — {-1 } por
.
III. A função ƒ: [0, +∞) → [0, +∞), definida por ƒ(x) =x2 tem como inversa a função g: [0, +∞) → [0, +∞), dada por g(x) = √x .
IV. A função ƒ: ℝ → ℝ, definida por y = 2x - 5 tem como inversa a função ƒ-1: ℝ → ℝ , definida por
.
Acerca dessas asserções, assinale a afirmativa CORRETA:
Provas
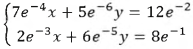
Considere que x = x0 e y = y0 seja a solução do sistema de equações lineares:

Nesse caso, se x0 e y0 são os dois primeiros termos de uma progressão geométrica crescente, então, o terceiro termo dessa progressão será igual a:
Provas
Numa progressão geométrica de razão q, sabe-se que:
I - A soma dos logaritmos naturais dos três primeiros termos é igual a 36;
II - O produto do logaritmo natural do primeiro termo com o logaritmo natural da razão é 27.
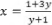
Se
é um número inteiro, então o termo a2.019, vale:
Provas
O resultado da integral definida
é:
Provas
Caderno Container