Foram encontradas 25 questões.
A respeito dos elementos de uma página HTML e sua estilização por meio da linguagem CSS (Cascading Style Sheets), considere as afirmações I, II e III.
I. É possível adicionar transições tridimensionais em CSS através do atributo z-index.
II. Um elemento que receba a propriedade padding:20px só será afetado em sua altura se sua exibição na página for inline.
III. A posição exata de um elemento na página pode ser definida apenas pelo atributo position, com valor relative.
Assinale a alternativa correta:
Provas
A respeito da Programação Orientada a Objetos em Java, assinale a alternativa correta:
Provas
- Paradigmas de ProgramaçãoOrientação a ObjetosOrientação a Objetos: Construtores
- Paradigmas de ProgramaçãoOrientação a ObjetosOrientação a Objetos: Encapsulamento
- Paradigmas de ProgramaçãoOrientação a ObjetosOrientação a Objetos: Membros Estáticos
- Paradigmas de ProgramaçãoOrientação a ObjetosOrientação a Objetos: Métodos
A respeito do Paradigma da Orientação a Objetos, considere as afirmações I, II e III.
I. Em uma mesma classe, um atributo estático (atributo de classe), não pode ser acessado por um método não-estático.
II. Uma classe cujos atributos são todos privados pode oferecer uma API (Application Programming Interface) externa utilizando métodos públicos.
III. Uma classe pode oferecer mais de um construtor, desde que suas listas de parâmetros sejam diferentes em número e/ou tipo de parâmetros.
Assinale a alternativa correta:
Provas
A respeito das páginas HTML, da linguagem JavaScript e da linguagem CSS (Cascading Style Sheets), considere as afirmações I, II e III.
I. Um formulário HTML que não possui o elemento <input type="submit"> ainda pode ser submetido utilizando JavaScript.
II. A linguagem JavaScript é capaz de alterar dinamicamente, para algum elemento HTML, qualquer propriedade de estilo definida previamente em CSS.
III. Uma página HTML que contenha um formulário com um campo <input type="email">, a partir da especificação do HTML versão 5, pode validar o campo de e-mail sem o uso de JavaScript.
Assinale a alternativa correta:
Provas
Considerando a linguagem de programação Ruby, supondo que exista uma implementação de uma classe Stack, que implemente uma pilha, assinale a alternativa que mostra corretamente a instanciação da classe Stack e a utilização de métodos de seu objeto instanciado:
Provas
Atualmente, observa-se o crescente e acelerado número de aplicações web sendo implantadas. Tal crescimento ocasiona, consequentemente, o aumento do volume de dados gerado. Também pode-se observar o aumento da geração de dados não-estruturados ou semi-estruturados. Nestes cenários, cria-se uma ampla discussão entre dois modelos de bases de dados: bases de dados relacionais e bases de dados não-relacionais (também conhecidas pelo termo NoSQL). Considerando as abordagens supramencionadas, assinale a alternativa correta:
Provas
Considerando a especificação JavaEE Servlet 3.0, assinale a alternativa correta:
Provas
Considerando a arquitetura cliente-servidor ilustrada a seguir bem como os conceitos inerentes a esta arquitetura, analise as afirmações I, II e III.

I. Quando o endereço http://www.ifms.edu.br/centraldeselecao/editais.html é dado como entrada no campo de endereço de um navegador web, o navegador web, primeiramente, resolve o nome www.ifms.edu.br. Tal resolução baseia-se na identificação do endereço de IP (Internet Protocol), usualmente solicitando o DNS (Domain Name Server) provido por seu ISP (Internet Service Provider). Posteriormente, o navegador web envia uma requisição HTTP para o IP encontrado para receber o conteúdo do arquivo identificado pelo caminho /centraldeselecao/editais.html.
II. Em resposta a qualquer requisição web, o servidor de aplicações envia uma resposta HTTP contendo o texto do documento HTML requisitado. Imagens e outros elementos não textuais, como áudios e vídeos, por exemplo, são elencados apenas como referências.
III. O navegador web recebe uma resposta HTTP e interpreta o código HTML recebido. Se houver alguma referência a dados não textuais, o navegador web requisita ao servidor web os arquivos necessários.
Assinale a alternativa correta:
Provas
Com o passar dos anos, a especificação JavaServer Pages (JSP) evoluiu rapidamente para atender às necessidades da comunidade de desenvolvimento Java. Como resultado desta evolução, diversas funcionalidades foram implementadas, como a JSTL (Java Standard Tag Library), por exemplo. Sobre a especificação JSP e suas implementações, assinale a alternativa correta:
Provas
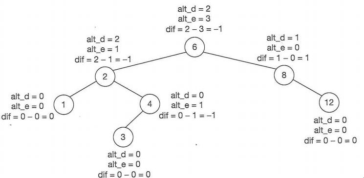
Sobre as estruturas de dados denominadas árvores, assinale a alternativa correta:
Provas
Caderno Container