Foram encontradas 20 questões.
Para h(x) = sen
Provas
Provas
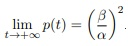
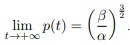
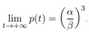
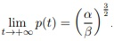
Para n ∈ R, a equação diferencial ordinária
dy / dt + g(t)y = h(t)yn ,
é conhecida como equação de Bernoulli, em homenagem ao celebre matemático suíço Jacob Bernoulli (1654-1705). Dentre outras aplicações, a equação de Bernoulli pode ser utilizada como modelo matemático para o estudo do crescimento de peixes, através da equação
dp / dt = αp2/3 − βp,
também conhecida como equação de von Bertalanffy, em homenagem ao biólogo austríaco Ludwig von Bertalanffy (1901-1972). Na equação de von Bertalanffy, a função incógnita p(t) representa o peso do peixe no instante de tempo t e as constantes α > 0 e β > 0, respectivamente, as taxas de ganho de massa (anabolismo) e perda de massa (catabolismo) do peixe. Nessas condições, após resolver a equação de von Bertalanffy e observar a sua solução, pode-se verificar que:
Provas
Seja T : R2 → R uma transformação linear tal que
T(2, 2) = 3 e T(3, 2) = 1.
O valor de T(1, 0) é:
Provas
I - Se u ∈ U é tal que T(u) = 0, então u = 0.
II - Se n ≥ 1 é um inteiro e u1, u2, . . . , un são vetores em U tais que o conjunto de vetores {T(u1), T(u2), . . . , T(un)} é linearmente independente, então o conjunto de vetores {u1, u2, . . . , un} é linearmente independente.
III - Se W é um subconjunto de U então o conjunto
T (W) = {T(w) | w ∈ W}
é um subespaço vetorial de V .
IV - Se U e V forem espaços vetoriais de dimensão finita e T for um isomorfismo, então U e V têm a mesma dimensão.
Sobre essas afirmações podemos dizer que estão corretos:
Provas

transforma E na região
então o valor da integral
Provas
Provas

Para que f seja derivável em R, o valor de a + b + c deve ser:
Provas
Considere a função real de uma variável real f(x) definida por

O valor de L para que f(x) seja contínua em x = 0 é igual a:
Provas
Provas
Caderno Container