Foram encontradas 1.245 questões.
Dois feixes de luz de mesmas frequências e mesmos comprimentos de onda \( \lambda \) propagam superpostos na mesma direção. Os feixes foram emitidos em fase, mas suas fontes estavam em posições diferentes, distante uma da outra de \( \Delta x \) . Numa posição \( x > \Delta x \) , os feixes de luz apresentam uma diferença de fase \( φ \) .
Sobre a diferença de fase e o tipo de superposição, é CORRETO afirmar que
Provas
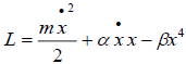
Considere a lagrangeana
, definida para um sistema físico particular com m , \( \alpha \) e \( \beta \) constantes. A equação de movimento para esse sistema é
Provas
Duas espiras planas, uma retangular e outra circular, de áreas A1 e A2 estão na presença de um campo magnético uniforme \( \vec B \) , conforme a figura abaixo.

Em relação às afirmações sobre o fluxo magnético através das espiras, marque a alternativa CORRETA.
Provas
A figura abaixo ilustra um raio de luz incidindo sobre uma superfície plana num meio 1 e sendo refratada no meio 2 . Os índices de refração dos meios são n1 e n2 , os ângulos de incidência e refratado são, respectivamente, \( \theta_1 \) e \( \theta_2 \).

Sobre o fenômeno da refração da luz, é CORRETO afirmar que
Provas
Considere dois prótons, 1 e 2, de alta energia e que se aproximam de um detector fixo vindo de direções opostas. As velocidades dos prótons 1 e 2, medidas no referencial do detector, são v1 = 0,9c e v2 = -0,8c , respectivamente. É CORRETO afirmar que
Dado: c é a velocidade da luz.
Provas
Uma carga de prova puntiforme positiva, q0 , é colocada no ponto P à meia distância entre duas cargas q , iguais e positivas, como ilustra a figura abaixo.

Considere as proposições:
I. Em todos os pontos do eixo-y, entre as cargas positivas, a força sobre a carga de prova q0 é nula.
II. A força que atua na carga de prova q0 é nula no ponto P.
III. A carga de prova q0 executa um movimento de oscilação, para pequenos deslocamentos restritos ao eixo-x, caso a carga de prova seja negativa.
As proposições CORRETAS são:
Provas
Em alguns bairros da capital São Luís-MA, comerciantes investem nas “bike-som”, para ganhar mais consumidores. Trata-se de uma bicicleta aparelhada com caixas de som, para fazer as propagandas. Considere uma bicicleta dessas, movendo-se a 10 km/h, emitindo um som de frequência 550 Hz. A bicicleta passa próxima a uma pessoa, que detecta o som. Considere que o som tem velocidade de 340 m/s, em relação ao ar, que está parado. A frequência aproximada que a pessoa ouvirá é
Provas
Considere o campo elétrico \( \vec E = c(x^2 \hat x + y\hat y + z^3\hat z) \) , em coordenadas retangulares e onde c é uma constante. Esse campo elétrico está no vácuo e é definido num volume finito do espaço. A densidade volumétrica de carga \( \rho \) que gera esse campo elétrico é
Dado: a permissividade do vácuo é \( ε_0 \) .
Provas
Com base nas leis da termodinâmica, assinale a alternativa CORRETA.
Provas
Um bloco de massa M está preso a uma parede por uma mola de massa desprezível e constante elástica k , inicialmente relaxada. O bloco desliza sem atrito sobre uma mesa horizontal. Uma massa puntiforme m, com velocidade horizontal v , atinge o bloco no instante t=0 e fica grudada nele, conforme a figura abaixo. Considerando M=2m, a expressão para o deslocamento x do bloco em função do tempo t é

Provas
Caderno Container