Magna Concursos

Foram encontradas 50 questões.

De acordo com o que estabelece a lei que instituiu a Rede Federal de Educação Profissional, Científica e Tecnológica (Lei n° 11.892/08 e suas alterações), acerca da Estrutura Organizacional dos Institutos Federais, assinale a alternativa correta.
 

Provas

Questão presente nas seguintes provas
De acordo com o que estabelece a lei que instituiu a Rede Federal de Educação Profissional, Científica e Tecnológica (Lei n° 11.892/08 e suas alterações), acerca da Estrutura Organizacional dos Institutos Federais, assinale a alternativa correta.
 

Provas

Questão presente nas seguintes provas
1106019 Ano: 2016
Disciplina: Matemática
Banca: AOCP
Orgão: IF-BA

A integral ∫c (x2 y + 5)ds, sendo C a curva parametrizada por: Enunciado 1106019-1 = (cos(t), sen(t)), com t ≤ π, vale

 

Provas

Questão presente nas seguintes provas
1106018 Ano: 2016
Disciplina: Matemática
Banca: AOCP
Orgão: IF-BA

Define-se valor médio de uma função F sobre uma região R no espaço por: Enunciado 1106018-1

Considerando a função dada por F(x,y,z) = xyz, o valor médio de F sobre o cubo limitado pelos planos coordenados e pelos planos x = 4, y = 4 e z = 4, no primeiro octante, é igual a

 

Provas

Questão presente nas seguintes provas
1106017 Ano: 2016
Disciplina: Matemática
Banca: AOCP
Orgão: IF-BA

Um professor propôs a resolução da integral Enunciado 1106017-1 Analise as afirmativas de três alunos, A, B e C, e assinale a alternativa correta.

Aluno A: A integral pode ser resolvida substituindo (2x + 1) por u e fazendo os cálculos corretos.

Aluno B: A integral pode ser resolvida substituindo Enunciado 1106017-2 por u e fazendo os cálculos corretos.

Aluno C: A integral não pode ser resolvida pelo método da substituição.

 

Provas

Questão presente nas seguintes provas
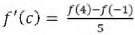
1106016 Ano: 2016
Disciplina: Matemática
Banca: AOCP
Orgão: IF-BA

Considere a função f definida por Enunciado 1106016-1. O(s) valor(es) de c pertencente(s) ao intervalo [-1,4], tal(is) que Enunciado 1106016-2 é (são)

 

Provas

Questão presente nas seguintes provas
1106015 Ano: 2016
Disciplina: Matemática
Banca: AOCP
Orgão: IF-BA

Sejam P(x) = x3 + 3x2 + 2x e Q(x) = 2x2 - 2x -12 . O valor de Enunciado 1106015-1 é

 

Provas

Questão presente nas seguintes provas
1106014 Ano: 2016
Disciplina: Matemática
Banca: AOCP
Orgão: IF-BA

Sejam

P(x) = x100 - x80 + 400 e Q(x) = - 2 x20 + 200x .

O valor de Enunciado 1106014-1 é

 

Provas

Questão presente nas seguintes provas
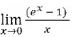
1106013 Ano: 2016
Disciplina: Matemática
Banca: AOCP
Orgão: IF-BA

Sobre os limites: I. Enunciado 1106013-1 e II. Enunciado 1106013-2 , assinale a alternativa correta.

 

Provas

Questão presente nas seguintes provas
1106012 Ano: 2016
Disciplina: Matemática
Banca: AOCP
Orgão: IF-BA

O valor de a para que a função f definida por Enunciado 1106012-1 seja contínua é

 

Provas

Questão presente nas seguintes provas