Magna Concursos

Foram encontradas 1.676 questões.

1456471 Ano: 2009
Disciplina: Legislação Estadual e Distrital
Banca: CESPE / CEBRASPE
Orgão: IBRAM-DF
Quanto ao alvará de funcionamento e localização, no âmbito do Distrito Federal, julgue os seguintes itens.
Nas edificações que não possuam carta de habite-se, bem como em parcelamentos considerados de interesse público, expede-se alvará de localização e funcionamento de transição, desde que a anuência de 80% dos vizinhos seja registrada no cartório de registro de títulos e documentos ou seja apresentado no IBRAM documento de identificação de cada um dos vizinhos, válido em todo o território nacional.
 

Provas

Questão presente nas seguintes provas
1456470 Ano: 2009
Disciplina: Química
Banca: CESPE / CEBRASPE
Orgão: IBRAM-DF
Quanto ao alvará de funcionamento e localização, no âmbito do Distrito Federal, julgue os seguintes itens.
Exige-se alvará de localização e funcionamento para atividades econômicas de caráter eventual e para aquelas instaladas em mobiliário urbano. O referido documento deve ser afixado na entrada do estabelecimento, ao lado da licença prévia, sendo obrigatória sua apresentação aos clientes habituais.
 

Provas

Questão presente nas seguintes provas
1456469 Ano: 2009
Disciplina: Química
Banca: CESPE / CEBRASPE
Orgão: IBRAM-DF
Acidentes envolvendo derramamento de petróleo e subprodutos em mares e oceanos causam sempre grandes impactos ambientais. Os efeitos que esses acidentes podem causar dividem-se em dois grupos: efeitos químicos e efeitos físicos. Com respeito ao assunto em questão, julgue os seguintes itens.
Os efeitos físicos do derramamento de petróleo e subprodutos no mar limitam-se à poluição visual e ao mau cheiro, os quais podem persistir por longos períodos de tempo.
 

Provas

Questão presente nas seguintes provas
1456468 Ano: 2009
Disciplina: Química
Banca: CESPE / CEBRASPE
Orgão: IBRAM-DF
Acidentes envolvendo derramamento de petróleo e subprodutos em mares e oceanos causam sempre grandes impactos ambientais. Os efeitos que esses acidentes podem causar dividem-se em dois grupos: efeitos químicos e efeitos físicos. Com respeito ao assunto em questão, julgue os seguintes itens.
Os hidrocarbonetos de massas molares mais elevadas são os que apresentam os menores perigos aos organismos marinhos no que diz respeito aos efeitos químicos, porque esses compostos apresentam menor biodisponibilidade.
 

Provas

Questão presente nas seguintes provas
1456467 Ano: 2009
Disciplina: Química
Banca: CESPE / CEBRASPE
Orgão: IBRAM-DF

Enunciado 1456467-1

A figura acima apresenta o esquema de uma unidade empregada no transporte de determinada substâncias perigosa. Considerando essa figura, julgue os próximos itens acerca de transporte de substâncias perigosas.

A unidade de transporte em questão está sinalizada em conformidade com o transporte de ácido sulfúrico.
 

Provas

Questão presente nas seguintes provas
1456466 Ano: 2009
Disciplina: Química
Banca: CESPE / CEBRASPE
Orgão: IBRAM-DF

Enunciado 1456466-1

A figura acima apresenta o esquema de uma unidade empregada no transporte de determinada substâncias perigosa. Considerando essa figura, julgue os próximos itens acerca de transporte de substâncias perigosas.

Na unidade de transporte apresentada, o retângulo corresponde ao painel de segurança e o losango, ao rótulo de risco, sendo que a função do primeiro é informar o número de telefone a ser discado em caso de emergência.
 

Provas

Questão presente nas seguintes provas
1456465 Ano: 2009
Disciplina: Química
Banca: CESPE / CEBRASPE
Orgão: IBRAM-DF

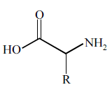
As proteínas, moléculas essenciais à vida, são formadas pela condensação de um número grande de aminoácidos. A estrutura geral de um aminoácido é apresentada ao lado, sendo que a variação do grupo R dá origem aos 20 diferentes aminoácidos que são utilizados pelas células na síntese das proteínas. No que se refere a aminoácidos e proteínas, julgue os itens subsequentes.

Enunciado 1456465-1

A ligação peptídica presente nas proteínas consiste em uma ligação covalente polar entre um átomo de nitrogênio de um aminoácido e o oxigênio do grupo carbonila de outro aminoácido, gerando um grupo funcional amida.
 

Provas

Questão presente nas seguintes provas
1456464 Ano: 2009
Disciplina: Química
Banca: CESPE / CEBRASPE
Orgão: IBRAM-DF

As proteínas, moléculas essenciais à vida, são formadas pela condensação de um número grande de aminoácidos. A estrutura geral de um aminoácido é apresentada ao lado, sendo que a variação do grupo R dá origem aos 20 diferentes aminoácidos que são utilizados pelas células na síntese das proteínas. No que se refere a aminoácidos e proteínas, julgue os itens subsequentes.

Enunciado 1456464-1

De acordo com a teoria da repulsão entre os pares de elétrons da camada de valência, o ângulo entre as ligações do nitrogênio de um aminoácido (excluindo-se eventuais nitrogênios presentes nos grupos R) é 120º.
 

Provas

Questão presente nas seguintes provas
1456463 Ano: 2009
Disciplina: Química
Banca: CESPE / CEBRASPE
Orgão: IBRAM-DF

As proteínas, moléculas essenciais à vida, são formadas pela condensação de um número grande de aminoácidos. A estrutura geral de um aminoácido é apresentada ao lado, sendo que a variação do grupo R dá origem aos 20 diferentes aminoácidos que são utilizados pelas células na síntese das proteínas. No que se refere a aminoácidos e proteínas, julgue os itens subsequentes.

Enunciado 1456463-1

Em solução aquosa fortemente ácida, os aminoácidos são encontrados predominantemente na forma catiônica.
 

Provas

Questão presente nas seguintes provas
1456462 Ano: 2009
Disciplina: Química
Banca: CESPE / CEBRASPE
Orgão: IBRAM-DF

Enunciado 1456462-1

A figura acima apresenta as fórmulas estruturais de oito diferentes compostos orgânicos. Com relação a esses compostos e suas propriedades, julgue os itens subsequentes.

Enunciado 1456462-2
 

Provas

Questão presente nas seguintes provas