Foram encontradas 853 questões.
De uma população de interesse, extrai-se uma amostra aleatória de três elementos, cuja média é 8, a mediana é 7 e a amplitude total é 7.
O desvio padrão amostral é dado por
O desvio padrão amostral é dado por
Provas
Questão presente nas seguintes provas
De uma população de interesse, extrai-se uma amostra aleatória de três elementos, cuja média é 8, a mediana é 7 e a amplitude total é 7.
O desvio padrão amostral é dado por
O desvio padrão amostral é dado por
Provas
Questão presente nas seguintes provas
Deseja-se construir uma caixa, sem a tampa, na forma de paralelepípedo retângulo reto de base quadrada, com volume de 2 m3 . Qual deve ser a medida, em metros, do lado da base, para que a área total da caixa seja a menor possível?
Provas
Questão presente nas seguintes provas
A inclinação da reta tangente à curva x2 + y4 = 4 no ponto

Provas
Questão presente nas seguintes provas
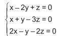
Considere o sistema formado pelas equações:

O conjunto solução do sistema é

O conjunto solução do sistema é
Provas
Questão presente nas seguintes provas
Se
é uma reflexão ortogonal, que deixa fixo um plano que passa pela origem, então os autovalores de T são:
Provas
Questão presente nas seguintes provas
Considere um sistema cartesiano plano no qual cada unidade no eixo das abscissas e no eixo das ordenadas corresponde a 1 cm.
Sejam os pontos no plano: A(0,0), B(2,0), C(2,3) e D(0,3).
Sejam os pontos no plano: A(0,0), B(2,0), C(2,3) e D(0,3).
Ao serem multiplicados pela matriz
, esses pontos são transformados em E, F, G e H. Então, a área, em cm2, do quadrilátero cujos vértices são E, F, G e H é igual a
Provas
Questão presente nas seguintes provas
Considere, na Figura a seguir, a região R entre a curva y = ln(x) e a reta que passa pelos pontos (1,0) e (e ,1).

A área de R é igual a

A área de R é igual a
Provas
Questão presente nas seguintes provas
A Figura abaixo representa um trecho do gráfico de uma função diferenciável
A reta r é tangente ao gráfico de f no ponto (2,3).


Provas
Questão presente nas seguintes provas
Tem-se que 

Provas
Questão presente nas seguintes provas
Cadernos
Caderno Container