Magna Concursos

Foram encontradas 680 questões.

196337 Ano: 2018
Disciplina: Farmácia
Banca: CESPE / CEBRASPE
Orgão: HUB
Provas:
Com relação a dispositivos destinados à aplicação pulmonar de fármacos e às características dessa via de administração, julgue os itens subsequentes.
A via pulmonar permite a administração de medicamentos em forma líquida por aspersão de gotículas.
 

Provas

Questão presente nas seguintes provas
196336 Ano: 2018
Disciplina: Farmácia
Banca: CESPE / CEBRASPE
Orgão: HUB
Provas:
Com relação a dispositivos destinados à aplicação pulmonar de fármacos e às características dessa via de administração, julgue os itens subsequentes.
A via pulmonar permite a administração de partículas sólidas finamente divididas.
 

Provas

Questão presente nas seguintes provas
196335 Ano: 2018
Disciplina: Farmácia
Banca: CESPE / CEBRASPE
Orgão: HUB
Provas:
Com relação a dispositivos destinados à aplicação pulmonar de fármacos e às características dessa via de administração, julgue os itens subsequentes.
Nebulizadores, aerossóis pressurizados e inaladores de pó seco são formas de apresentação para administração pulmonar.
 

Provas

Questão presente nas seguintes provas
196334 Ano: 2018
Disciplina: Farmácia
Banca: CESPE / CEBRASPE
Orgão: HUB
Provas:
Com relação a dispositivos destinados à aplicação pulmonar de fármacos e às características dessa via de administração, julgue os itens subsequentes.
Tamanho de partícula do fármaco, fluxo aéreo e calibre das vias aéreas afetam os efeitos obtidos pela administração inalatória.
 

Provas

Questão presente nas seguintes provas
196333 Ano: 2018
Disciplina: Farmácia
Banca: CESPE / CEBRASPE
Orgão: HUB
Provas:

Enunciado 196333-1

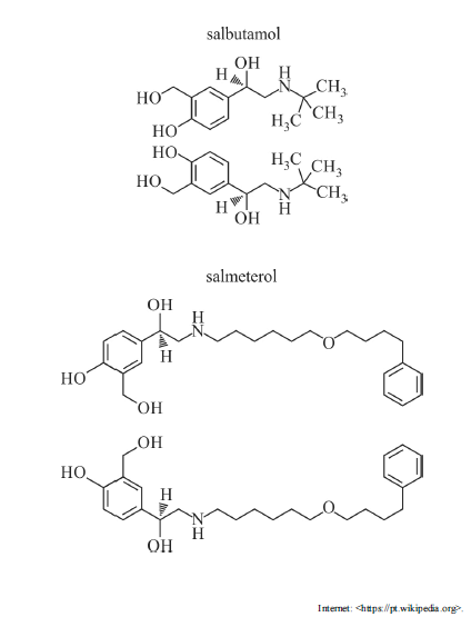
No que se refere às características dos fármacos salbutamol e salmeterol, administrados por via pulmonar, e cujas estruturas químicas estão representadas nas figuras precedentes, julgue os itens que se seguem.

Recomenda-se a administração dos fármacos em apreço mediante o uso de aerossóis, pois, dessa forma, minimizam-se seus efeitos cardíacos.
 

Provas

Questão presente nas seguintes provas
196332 Ano: 2018
Disciplina: Farmácia
Banca: CESPE / CEBRASPE
Orgão: HUB
Provas:

Enunciado 196332-1

No que se refere às características dos fármacos salbutamol e salmeterol, administrados por via pulmonar, e cujas estruturas químicas estão representadas nas figuras precedentes, julgue os itens que se seguem.

Tanto o salbutamol quanto o salmeterol podem exercer efeitos secundários cardíacos, como a taquicardia.
 

Provas

Questão presente nas seguintes provas
196331 Ano: 2018
Disciplina: Farmácia
Banca: CESPE / CEBRASPE
Orgão: HUB
Provas:

Enunciado 196331-1

No que se refere às características dos fármacos salbutamol e salmeterol, administrados por via pulmonar, e cujas estruturas químicas estão representadas nas figuras precedentes, julgue os itens que se seguem.

Devido ao seu caráter lipofílico, o salmeterol apresenta ação mais prolongada que o salbutamol.
 

Provas

Questão presente nas seguintes provas
196330 Ano: 2018
Disciplina: Farmácia
Banca: CESPE / CEBRASPE
Orgão: HUB
Provas:

Enunciado 196330-1

No que se refere às características dos fármacos salbutamol e salmeterol, administrados por via pulmonar, e cujas estruturas químicas estão representadas nas figuras precedentes, julgue os itens que se seguem.

Para proporcionar efeito sistêmico, pós para inalação à base de salbutamol devem apresentar diâmetro aerodinâmico médio do fármaco superior a 10 μm.
 

Provas

Questão presente nas seguintes provas
196329 Ano: 2018
Disciplina: Farmácia
Banca: CESPE / CEBRASPE
Orgão: HUB
Provas:

Enunciado 196329-1

No que se refere às características dos fármacos salbutamol e salmeterol, administrados por via pulmonar, e cujas estruturas químicas estão representadas nas figuras precedentes, julgue os itens que se seguem.

O salmeterol corresponde a uma mistura racêmica com maior quantidade do enantiômero dextrogiro que de levogiro.
 

Provas

Questão presente nas seguintes provas
196328 Ano: 2018
Disciplina: Farmácia
Banca: CESPE / CEBRASPE
Orgão: HUB
Provas:

Enunciado 196328-1

No que se refere às características dos fármacos salbutamol e salmeterol, administrados por via pulmonar, e cujas estruturas químicas estão representadas nas figuras precedentes, julgue os itens que se seguem.

Corticoide comercializado em forma de solução, comprimido ou pó para inalação, o salbutamol possui ação anti-inflamatória.
 

Provas

Questão presente nas seguintes provas