Foram encontradas 24 questões.
Joaquim emprestou 1/5 de seu salário para o seu tio. Se o salário de Joaquim é R$ 2.000,00, qual o valor emprestado por ele ao seu tio?
Provas
João e José estão construindo um telhado. Uma viga de 36 m de comprimento deve ser dividida em quatro partes iguais. Quanto mede, em cm, cada pedaço desta divisão?
Provas
- FundamentosOperações Fundamentais
- FundamentosFrações e Números DecimaisFraçõesSoma e Subtração de frações
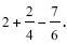
Dois funcionários do Hemope resolvem uma questão de matemática proposta pelo filho de um deles. Resolva a expressão:
Assinale a alternativa que corresponde ao resultado encontrado por eles.
Provas
Leia a tira abaixo.

Provas
Lendo o texto: Nós, pernambucanos, temos orgulho de termos um pólo médico que se destaca no cenário nacional, o que eleva o nosso estado., você conclui que
I. Nós é pronome pessoal.
II. nosso é pronome possessivo.
III. o verbo temos concorda com o pronome nós.
IV. o verbo eleva é regular.
Estão CORRETAS
Provas
Que alternativa abaixo preenche CORRETAMENTE as lacunas das afirmativas?
Os municípios pernambucanos ___________ assistidos pela Fundação HEMOPE com transparência e credibilidade.
Os pernambucanos _________ orgulho em terem o primeiro hemocentro do país.
A Fundação HEMOPE _________ prestado serviço à população pernambucana com qualidade e segurança.
Há 30 anos, __________ concebida a Fundação de Hematologia e Hemoterapia de Pernambuco.
Provas
Analisando-se o trecho: "Hoje a Fundação HEMOPE é responsável pela realização de expressivo volume de procedimentos médicos...", é INCORRETO afirmar.
Provas
Provas
No texto "...de modo ágil e moderno...", o adjetivo ágil tem corretamente o seu plural em ágeis. Observe os pares abaixo.
I. Criação/criações.
II. País/países.
III. Lugar/lugares.
IV. Papel/papéis.
V. Bem/bens.
As correspondências entre o singular e o plural foram feitas adequadamente emProvas
A expressão "Ao longo desses 30 anos,..." pode ser substituída sem alteração de sentido por
Provas
Caderno Container