Foram encontradas 639 questões.
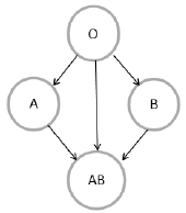
A figura a seguir mostra a compatibilidade entre doadores e receptores de sangue de grupos sanguíneos diferentes, onde as setas utilizadas partem de doadores e chegam a receptores, isto é, as setas mostram “quem pode doar a quem”.

Camila, Diogo, Paula e Rodrigo são quatro amigos que possuem tipos de sangue diferentes entre si, isto é, não há dois deles com o mesmo tipo de sangue.
Sabe-se que, entre eles:
\( \bullet \) Camila só pode receber sangue de Rodrigo;
\( \bullet \) Paula pode doar sangue para Diogo, mas não pode doar para Camila.
É obrigatoriamente verdade que
Provas
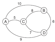
Quatro lugares A, B, C e D estão interligados, sendo possível ir diretamente de qualquer um deles a qualquer outro.
Os comprimentos dos caminhos entre eles, em quilômetros, estão representados na figura a seguir:

Carlos está no lugar A e precisa passar uma única vez em cada um dos outros três lugares para coletar malotes e voltar para A.
O menor caminho que ele pode percorrer mede
Provas
Para se calcular o volume de sangue, em litros, no corpo de uma mulher adulta com altura H, em metros, e peso P, em quilogramas, usa-se a fórmula:
\( V \, = \, 0,3561 \, \times \, H^3 \, + \, 0,03308 \, \times \, P \, + \, 0,1833 \)
A expressão que nos dá esse volume de sangue em mililitros quando H é dado em centímetros e P em quilogramas é:
Provas
O logotipo de uma empresa foi construído a partir de um quadrado ABCD de lado 6cm, conforme se vê na figura.

O ponto M é o ponto médio do lado AB e O é o ponto de encontro das diagonais do quadrado.
A área do quadrilátero MDOC, em cm2, é
Provas
Deseja-se embalar 264 bolsas de sangue sendo que 108 delas contêm sangue do tipo A, 36 do tipo B, 24 do tipo AB e 96 do tipo O.
Todas as embalagens deverão conter a mesma quantidade de bolsas de sangue e em cada embalagem todas as bolsas deverão ser do mesmo tipo sanguíneo. A quantidade total de embalagens tem que ser a menor possível.
Essa menor quantidade possível de embalagens é
Provas
Três bolsas de sangue contêm cada uma 450 mililitros de sangue.
O volume total de sangue contido nessas três bolsas, em decímetros cúbicos (dm3), é
Provas
Em uma estante há 30 livros sendo que alguns têm capa verde, outros têm capa vermelha e os demais têm capa azul.
Dos livros que estão nessa estante, 25 não têm capa verde e 20 não têm capa azul.
A quantidade de livros dessa estante que têm capa vermelha é
Provas
No sistema de grupos sanguíneos ABO, existem quatro tipos de grupos sanguíneos: A, B, AB e O. Essa classificação é feita dependendo da presença ou não dos antígenos A e B no sangue da pessoa, de acordo com o seguinte critério:
\( \bullet \) Tipo A: presença somente do antígeno A no sangue
\( \bullet \) Tipo B: presença somente do antígeno B no sangue
\( \bullet \) Tipo AB: presença dos dois antígenos A e B no sangue
\( \bullet \) Tipo O: ausência dos dois antígenos A e B no sangue
De um conjunto de 80 pessoas, 35 têm presença do antígeno A no sangue, 25 têm presença do antígeno B no sangue sendo que desses, 15 têm somente o antígeno B.
Desse conjunto de pessoas, a quantidade daquelas que têm sangue do tipo O é
Provas
“Plasma é a parte líquida do sangue e corresponde a cerca de 55% do seu volume. Os outros 45% do volume do sangue são representados pelas células: glóbulos vermelhos, plaquetas e glóbulos brancos.”
(http://www.prosangue.sp.gov.br/artigos/curiosidades)
Em um volume igual a \( \chi \) mililitros de sangue, o volume de plasma é igual a 220 mililitros.
O valor de \( \chi \), em mililitros, é de aproximadamente
Provas
As ações da empresa L valem, hoje, R$ 0,80 por ação. Elas tiveram queda de 98% em relação ao que valiam no primeiro dia de negociações na Bolsa de Valores.
No primeiro dia em que foram negociadas na Bolsa de Valores, cada ação da empresa L valia, aproximadamente
Provas
Caderno Container