Magna Concursos

Foram encontradas 639 questões.

3493073 Ano: 2013
Disciplina: Engenharia Elétrica
Banca: FGV
Orgão: Hemocentro-SP

A respeito de uma determinada tecnologia de comunicação móvel, analise as características a seguir.

\( \bullet \) Apesar de ser, tecnicamente, uma tecnologia de 3ª geração, muitos a classificam como um padrão 2,75G, por ser uma melhoria de redes 2,5G e não um novo sistema propriamente dito.

\( \bullet \) Melhorou o desempenho da transferência de dados por pacotes, com velocidade máxima teórica de 473,6 kb/s.

\( \bullet \) Abriu espaço para o streaming, uma aplicação até então praticamente inédita no acesso móvel à Internet.

As características apresentadas referem-se à tecnologia

 

Provas

Questão presente nas seguintes provas

Considerando o modelo OSI para redes de dados, a camada responsável por realizar transformações adequadas nos dados, tais como criptografia, conversão entre caracteres ASCII e EBCDIC, compressão e descompressão é a camada

 

Provas

Questão presente nas seguintes provas

A figura a seguir mostra o circuito de uma célula de memória.

Enunciado 3493071-1

A respeito da célula de memória mostrada na figura, analise as afirmativas a seguir.

I. Trata-se de uma célula de memória dinâmica.

II. A célula possibilita o acesso tanto ao bit armazenado, como ao seu complementar.

III. Esse tipo de célula armazena bem o nível lógico “1”, mas é ineficiente no armazenamento do nível lógico “0”.

Assinale:

 

Provas

Questão presente nas seguintes provas

A figura 1 mostra uma máquina de estados com as transições dos estados B (bit MAIS significativo) e A (bit MENOS significativo).

A figura 2 mostra a implementação dessa máquina de estados, usando flip-flops D e lógicas para os estados seguintes de B e A.

Enunciado 3493070-1

As lógicas B e A nas entradas dos flip-flops são, respectivamente,

 

Provas

Questão presente nas seguintes provas

Com relação ao sistema de telefonia fixa, analise as afirmativas a seguir.

I. A rede de comutação é composta pelos equipamentos necessários à seleção do caminho que possibilita a comunicação entre os usuários;

II. A região de operação do sistema é dividida em células as quais são cobertas por estações rádio base;

III. Centrais Tandem destinam-se a proporcionar o trânsito entre centrais locais ou interurbanas, não possuindo terminais de assinantes.

Assinale:

 

Provas

Questão presente nas seguintes provas

Uma empresa é formada por três setores A, B e C, e a distribuição do seu tráfego telefônico externo na Hora de Maior Movimento (HMM) é mostrada na tabela a seguir.

Setor

Número de
chamadas

Duração de cada
chamada

A 10

4 min

B 12

2 min

C 8

7 min

Com base nos dados fornecidos, a intensidade do tráfego telefônico dessa empresa, na HMM é, em Erlangs, igual a

 

Provas

Questão presente nas seguintes provas

O circuito da figura a seguir mostra um multiplexador com entradas D0 e D1, sinal de controle S e saída Y.

A entrada D0 é acionada quando S=0

Enunciado 3493067-1

Considerando as entradas A e B e a saída Y, esse circuito funciona como uma porta

 

Provas

Questão presente nas seguintes provas

Considere a seguinte soma:

21 (base decimal)

+ 2A (base hexadecimal)

---------

x (base binária)

X é igual a

 

Provas

Questão presente nas seguintes provas

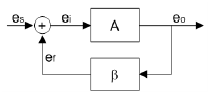
A figura abaixo mostra o diagrama em blocos de um amplificador realimentado, onde A e \( \beta \) representam os ganhos dos seus respectivos blocos.

Enunciado 3493065-1

Para que o ganho desse amplificador dependa apenas de \( \beta, \) deve-se ter

 

Provas

Questão presente nas seguintes provas
3493064 Ano: 2013
Disciplina: Engenharia Elétrica
Banca: FGV
Orgão: Hemocentro-SP

Considere o filtro mostrado na figura abaixo, com a resistência R dada em ohms e a indutância L dada em henrys.

Enunciado 3493064-1

Sua frequência de corte, em hertz, é

 

Provas

Questão presente nas seguintes provas