Foram encontradas 1.792 questões.
As estruturas de concreto devem ser dimensionadas e executadas atendendo a requisitos técnicos, prescrições de normas técnicas e a condicionantes construtivos que garantam a segurança e a durabilidade da construção. Com relação ao tema, julgue os itens a seguir.
Na falta de ensaios comprobatórios da resistência do concreto armado à agressividade do ambiente prevista no projeto, prescrições de norma técnica específica estabelecem valores limites de propriedades do concreto e de cobrimento nominal da armadura a serem observados em função do nível de agressividade do ambiente.
Provas
As estruturas de concreto devem ser dimensionadas e executadas atendendo a requisitos técnicos, prescrições de normas técnicas e a condicionantes construtivos que garantam a segurança e a durabilidade da construção. Com relação ao tema, julgue os itens a seguir.
A lixiviação é um mecanismo de deterioração do concreto caracterizado pela sua expansão quando em contato com águas e solos que contenham ou estejam contaminados com sulfatos.
Provas
As estruturas de concreto devem ser dimensionadas e executadas atendendo a requisitos técnicos, prescrições de normas técnicas e a condicionantes construtivos que garantam a segurança e a durabilidade da construção. Com relação ao tema, julgue os itens a seguir.
Em uma peça de concreto armado, qualquer armadura que não seja usada para produzir forças de protensão, isto é, que não seja previamente alongada, é denominada de armadura passiva.
Provas
Julgue os itens seguintes relativos à pavimentação de vias.
As emulsões asfálticas são materiais extremamente viscosos e, por isso, não são indicados para pinturas de ligação ou execução de revestimentos por penetração.
Provas
Julgue os itens seguintes relativos à pavimentação de vias.
O indice de grupo de um solo é calculado em função da percentagem do solo que passa na peneira de número 200 e dos valores do limite de liquidez e do limite de plasticidade do solo.
Provas
Julgue os itens seguintes relativos à pavimentação de vias.
O pavimento flexível é aquele que não possui camada de base.
Provas
Atualmente, alguns programas computacionais são indispensáveis para as atividades de engenharia. Com relação a programas rotineiramente utilizados nas atividades de engenharia civil, julgue os itens subseqüentes.
O Word disponibiliza recurso, na barra de ferramentas, que permite a inclusão de símbolos no texto.
Provas
Atualmente, alguns programas computacionais são indispensáveis para as atividades de engenharia. Com relação a programas rotineiramente utilizados nas atividades de engenharia civil, julgue os itens subseqüentes.
No Excel, a função DESVPAD calcula o desvio padrão para uma amostra de valores numéricos.
Provas
Atualmente, alguns programas computacionais são indispensáveis para as atividades de engenharia. Com relação a programas rotineiramente utilizados nas atividades de engenharia civil, julgue os itens subseqüentes.
No AutoCAD, o comando AREA permite o traçado do contorno de uma área com forma qualquer.
Provas

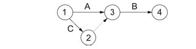
Considerando a figura acima, que mostra um esquema de um trecho de uma rede PERT/CPM, julgue os itens a seguir.
A seta tracejada indica a etapa que consome maior quantidade de recursos financeiros.
Provas
Caderno Container