Foram encontradas 20 questões.
Analise o espectro de massas do ácido decanóico apresentado na figura a seguir:

O pico base do espectro de massas (m/z = 60) pode ser explicado pela fragmentação via _________________. Nesse processo, um centro radicalar no íon molecular abstrai um hidrogênio da posição _________________, enquanto uma ligação π é formada entre _________________ e a ligação σ entre _________________ é quebrada, produzindo, então, o cátion radical que dá origem ao pico base do espectro.
Assinale a alternativa que correta e respectivamente preenche as lacunas no excerto:
Provas
Questão presente nas seguintes provas
Acerca da técnica de espectroscopia de infravermelho,
analise as afirmações a seguir. Registre V, para
verdadeiras, e F, para falsas:
(__)A natureza das bandas de absorção observadas na região do infravermelho médio está relacionada às transições eletrônicas entre os orbitais HOMO e LUMO das moléculas.
(__)O número de modos fundamentais de vibração de uma molécula não linear é dado por 3N − 6, onde N é o número de átomos da referida molécula.
(__)Na espectroscopia de infravermelho por transformada de Fourier através da refletância total atenuada (ATR-FTIR), a profundidade de penetração da radiação na amostra é função do número de onda e da diferença entre os índices de refração do cristal e da amostra analisada.
(__)Quando se requer a obtenção de um espectro em solução, para números de onda superiores a 1330 cm-1, recomenda-se utilizar o dissulfeto de carbono (CS2) como solvente para preparação da amostra. Assinale a opção que apresenta a sequência correta:
(__)A natureza das bandas de absorção observadas na região do infravermelho médio está relacionada às transições eletrônicas entre os orbitais HOMO e LUMO das moléculas.
(__)O número de modos fundamentais de vibração de uma molécula não linear é dado por 3N − 6, onde N é o número de átomos da referida molécula.
(__)Na espectroscopia de infravermelho por transformada de Fourier através da refletância total atenuada (ATR-FTIR), a profundidade de penetração da radiação na amostra é função do número de onda e da diferença entre os índices de refração do cristal e da amostra analisada.
(__)Quando se requer a obtenção de um espectro em solução, para números de onda superiores a 1330 cm-1, recomenda-se utilizar o dissulfeto de carbono (CS2) como solvente para preparação da amostra. Assinale a opção que apresenta a sequência correta:
Provas
Questão presente nas seguintes provas
A figura a seguir apresenta um cromatograma e as
estruturas moleculares de quatro compostos separados
por meio de cromatografia líquida de alta eficiência
(HPLC) por um método preciso e seletivo. Essa
separação foi conduzida utilizando uma coluna C18 e
uma fase móvel composta por uma mistura de água
acidificada com ácido fórmico (pH 3) e acetonitrila na
proporção 95:5, respetivamente. O detector empregado
foi de UV-Vis, configurado para um comprimento de onda
específico:
Com base nos dados fornecidos, analise as afirmações a seguir:
I.Os compostos identificados pelos números 1 e 2 são, respectivamente, o 5-hidroxitriptofano e a serotonina.
II.O componente de menor concentração na amostra analisada é o número 4.
III.Os compostos identificados pelos números 3 e 4 são, respectivamente, o triptofano e o 5-hidroxitriptofano.
IV.A concentração de cada componente na amostra interfere no tempo de retenção e é um dos motivos para o componente 1 apresentar retenção semelhante ao componente 2.
V.No detector UV-Vis, a escolha da largura de banda implica um equilíbrio entre sensibilidade e seletividade, sendo que larguras de banda mais estreitas promovem maior seletividade, enquanto as mais amplas aumentam a sensibilidade.
É correto o que se afirma em:
Com base nos dados fornecidos, analise as afirmações a seguir:
I.Os compostos identificados pelos números 1 e 2 são, respectivamente, o 5-hidroxitriptofano e a serotonina.
II.O componente de menor concentração na amostra analisada é o número 4.
III.Os compostos identificados pelos números 3 e 4 são, respectivamente, o triptofano e o 5-hidroxitriptofano.
IV.A concentração de cada componente na amostra interfere no tempo de retenção e é um dos motivos para o componente 1 apresentar retenção semelhante ao componente 2.
V.No detector UV-Vis, a escolha da largura de banda implica um equilíbrio entre sensibilidade e seletividade, sendo que larguras de banda mais estreitas promovem maior seletividade, enquanto as mais amplas aumentam a sensibilidade.
É correto o que se afirma em:
Provas
Questão presente nas seguintes provas
As figuras a seguir apresentam os espectros de
infravermelho obtidos por filme líquido e em solução
diluída utilizando CCl4 como solvente, na região de 4000
− 2000 cm-1, para o trans-2-hexen-1-ol:
Ao encontro disso, é correto afirmar que:
Ao encontro disso, é correto afirmar que:
Provas
Questão presente nas seguintes provas
A partir dos deslocamentos químicos destacados para as
moléculas a seguir e dos princípios associados à
ressonância magnética nuclear, analise as afirmações.
Marque V, para verdadeiras, e F, para falsas:
(__)Para a molécula do metoxibenzeno, os sinais dos prótons nas posições orto e para aparecem em deslocamentos químicos menores do que na posição meta, uma vez que esses hidrogênios são mais blindados devido ao efeito doador, por ressonância, do grupo -OCH3 nessas posições do anel.
(__)A maior blindagem dos prótons no acetileno, em comparação ao eteno, pode ser explicada pelo maior caráter "s" da ligação, uma vez que um carbono de hibridação sp é mais eletronegativo do que um carbono sp2.
(__)O deslocamento químico mais baixo dos prótons no acetileno, em comparação ao eteno, deve-se a um fenômeno chamado anisotropia magnética. Esse fenômeno é ocasionado pela indução de um campo magnético local a partir dos elétrons π. A depender da interação desse campo induzido com o campo magnético externo na localização espacial dos respectivos hidrogênios, os sinais podem ser observados em regiões de maior ou menor blindagem.
(__)Nas mesmas condições de análise, espera-se que os valores de deslocamentos químicos dos 1H aromáticos do metilbenzeno sejam ligeiramente menores em comparação ao benzeno. Essa observação deve-se ao efeito doador de densidade eletrônica por hiperconjugação, do grupo CH3 para o anel aromático.
Assinale a opção que representa a sequência correta:
(__)Para a molécula do metoxibenzeno, os sinais dos prótons nas posições orto e para aparecem em deslocamentos químicos menores do que na posição meta, uma vez que esses hidrogênios são mais blindados devido ao efeito doador, por ressonância, do grupo -OCH3 nessas posições do anel.
(__)A maior blindagem dos prótons no acetileno, em comparação ao eteno, pode ser explicada pelo maior caráter "s" da ligação, uma vez que um carbono de hibridação sp é mais eletronegativo do que um carbono sp2.
(__)O deslocamento químico mais baixo dos prótons no acetileno, em comparação ao eteno, deve-se a um fenômeno chamado anisotropia magnética. Esse fenômeno é ocasionado pela indução de um campo magnético local a partir dos elétrons π. A depender da interação desse campo induzido com o campo magnético externo na localização espacial dos respectivos hidrogênios, os sinais podem ser observados em regiões de maior ou menor blindagem.
(__)Nas mesmas condições de análise, espera-se que os valores de deslocamentos químicos dos 1H aromáticos do metilbenzeno sejam ligeiramente menores em comparação ao benzeno. Essa observação deve-se ao efeito doador de densidade eletrônica por hiperconjugação, do grupo CH3 para o anel aromático.
Assinale a opção que representa a sequência correta:
Provas
Questão presente nas seguintes provas
Considere que 20,0 mL de uma solução 0,15 mol L-1 de
ácido acético serão titulados com uma solução de NaOH
0,10 mol L-1.
Dados: Ka = 1,76 x 10-5 Kw = 1,00 x 10-14
Acerca dessa titulação, analise as afirmações a seguir:
I.Antes do início da titulação, o pH da solução de ácido acético é igual a 2,8.
II.São necessários 20,0 mL da solução de NaOH para atingir o ponto de equivalência.
III.No ponto de equivalência desta titulação ácido-base, o pH será maior do que 7,0.
IV.A fenolftaleína seria um bom indicador ácido-base para esta titulação, visto que seu ponto de viragem está aproximadamente entre pH 8,2 e 10,0.
É correto o que se afirma em:
Dados: Ka = 1,76 x 10-5 Kw = 1,00 x 10-14
√2,6=1,6 (obs: raiz de 2,6 = 1,6)
log (0,625) = − 0,2 log (6,67) = 0,82Acerca dessa titulação, analise as afirmações a seguir:
I.Antes do início da titulação, o pH da solução de ácido acético é igual a 2,8.
II.São necessários 20,0 mL da solução de NaOH para atingir o ponto de equivalência.
III.No ponto de equivalência desta titulação ácido-base, o pH será maior do que 7,0.
IV.A fenolftaleína seria um bom indicador ácido-base para esta titulação, visto que seu ponto de viragem está aproximadamente entre pH 8,2 e 10,0.
É correto o que se afirma em:
Provas
Questão presente nas seguintes provas
Acerca da técnica de cromatografia gasosa, analise as
afirmações a seguir. Marque V, para verdadeiras, e F,
para falsas:
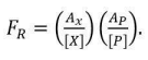
(__)A cromatografia gasosa é um método físico de separação de componentes presentes em uma mistura. Essa separação é realizada por meio de uma fase móvel gasosa sobre um adsorvente estacionário.
(__)O detector por captura de elétrons é baseado na detecção de íons formados durante a combustão de compostos orgânicos em chama de hidrogênio. A geração desses íons é proporcional à concentração de espécies orgânicas no fluxo de gás de amostra.
(__)Considerando que se está trabalhando dentro da faixa de resposta linear de um detector de um cromatógrafo a gás, a concentração de um analito pode ser obtida a partir da equação:
(__)O detector por captura de elétrons é pouco sensível a hidrocarbonetos.
(__)A fase estacionária é sempre formada por um adsorvente sólido, mas nunca por um líquido adsorvido em um suporte.
Assinale a alternativa que apresenta a sequência correta:
(__)A cromatografia gasosa é um método físico de separação de componentes presentes em uma mistura. Essa separação é realizada por meio de uma fase móvel gasosa sobre um adsorvente estacionário.
(__)O detector por captura de elétrons é baseado na detecção de íons formados durante a combustão de compostos orgânicos em chama de hidrogênio. A geração desses íons é proporcional à concentração de espécies orgânicas no fluxo de gás de amostra.
(__)Considerando que se está trabalhando dentro da faixa de resposta linear de um detector de um cromatógrafo a gás, a concentração de um analito pode ser obtida a partir da equação:
(__)O detector por captura de elétrons é pouco sensível a hidrocarbonetos.
(__)A fase estacionária é sempre formada por um adsorvente sólido, mas nunca por um líquido adsorvido em um suporte.
Assinale a alternativa que apresenta a sequência correta:
Provas
Questão presente nas seguintes provas
Acerca da técnica de titulação potenciométrica, analise
as afirmações a seguir:
I.Na titulação potenciométrica, uma diferença de potencial elétrico entre um eletrodo indicador e um eletrodo de referência é medida em função do volume de titulante adicionado, permitindo determinar a concentração de uma espécie química em solução.
II.Em titulações de ácidos fracos com bases fortes, devido à hidrólise do sal, a titulação potenciométrica apresenta menor exatidão quando comparada ao uso de indicadores visuais, como a fenolftaleína.
III.Na titulação potenciométrica, monitora-se a condutividade elétrica da solução em função do volume de titulante adicionado, havendo a formação de um pico máximo da propriedade medida, na região do ponto de equivalência.
IV.A titulação potenciométrica pode ser utilizada em titulações redox.
É correto o que se afirma em:
I.Na titulação potenciométrica, uma diferença de potencial elétrico entre um eletrodo indicador e um eletrodo de referência é medida em função do volume de titulante adicionado, permitindo determinar a concentração de uma espécie química em solução.
II.Em titulações de ácidos fracos com bases fortes, devido à hidrólise do sal, a titulação potenciométrica apresenta menor exatidão quando comparada ao uso de indicadores visuais, como a fenolftaleína.
III.Na titulação potenciométrica, monitora-se a condutividade elétrica da solução em função do volume de titulante adicionado, havendo a formação de um pico máximo da propriedade medida, na região do ponto de equivalência.
IV.A titulação potenciométrica pode ser utilizada em titulações redox.
É correto o que se afirma em:
Provas
Questão presente nas seguintes provas
Um químico precisa preparar 500 mL de uma solução
aquosa de HCl 0,15 M, a partir de um frasco de HCl
concentrado, cujo rótulo apresenta as seguintes
informações:
Título/Dosagem = 37,0%. Densidade = 1,20 g/cm3. Massa molar = 36,5 g/mol.
Isso posto, qual a quantidade desse HCl concentrado terá que ser utilizada para o preparo dessa solução?
Título/Dosagem = 37,0%. Densidade = 1,20 g/cm3. Massa molar = 36,5 g/mol.
Isso posto, qual a quantidade desse HCl concentrado terá que ser utilizada para o preparo dessa solução?
Provas
Questão presente nas seguintes provas
Acerca do processo de fragmentação e dos rearranjos
que ocorrem em espectrometria de massas, assinale a
alternativa correta:
Provas
Questão presente nas seguintes provas
Cadernos
Caderno Container