Foram encontradas 2.894 questões.
Julgue o seguinte item acerca dos sistemas de comunicação.
Dependendo da fonte de informação que gera uma mensagem, pode ser necessária a utilização de um transdutor antes do transmissor da mensagem.
Provas
- Técnicas de Modulação e Multiplexação
- Sistemas de Transmissão e Modulação| Redes de Acesso e Infra-estrutura
Em relação aos conceitos aplicados às técnicas de modulação, julgue o item subsecutivo.
São exemplos de modulação analógica de onda contínua as técnicas AM, PAM, QAM e FM.
Provas
- Técnicas de Modulação e Multiplexação
- Sistemas de Transmissão e Modulação| Redes de Acesso e Infra-estrutura
Em relação aos conceitos aplicados às técnicas de modulação, julgue o item subsecutivo.
Uma das vantagens da utilização da modulação é a possibilidade de transmitir múltiplos sinais simultaneamente.
Provas
- Técnicas de Modulação e Multiplexação
- Sistemas de Transmissão e Modulação| Redes de Acesso e Infra-estrutura
Em relação aos conceitos aplicados às técnicas de modulação, julgue o item subsecutivo.
A classificação da modulação como contínua ou discreta leva em consideração as características da portadora, mas não da informação transmitida.
Provas
Julgue o item subsequente a respeito da modulação de amplitude (AM).
A melhora na eficiência de uma transmissão AM do ponto de vista da utilização do espectro de frequência implica o aumento da complexidade dos circuitos envolvidos para a demodulação do sinal transmitido.
Provas
- Técnicas de Modulação e Multiplexação
- Sistemas de Transmissão e Modulação| Redes de Acesso e Infra-estrutura
A figura a seguir representa um sinal AM com índice de modulação menor que um, ou seja, um sinal não sobremodulado.

Provas

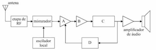
Considerando a figura apresentada, julgue o próximo item, relativo ao receptor AM super-heteródino.
Provas

Considerando a figura apresentada, julgue o próximo item, relativo ao receptor AM super-heteródino.
Provas
- Técnicas de Modulação e Multiplexação
- Sistemas de Transmissão e Modulação| Redes de Acesso e Infra-estrutura
Julgue o seguinte item no que se refere a ruído em modulação e desempenho na presença de ruído.
Embora possuam menor alcance, os sistemas FM são mais robustos ao ruído do que os sistemas AM.
Provas
- Técnicas de Modulação e Multiplexação
- Sistemas de Transmissão e Modulação| Redes de Acesso e Infra-estrutura
Julgue o seguinte item no que se refere a ruído em modulação e desempenho na presença de ruído.
Se um sistema de comunicação FM (modulação em frequência) que trafega sinal de áudio sofre a influência de um ruído branco no canal, a relação sinal-ruído será elevada nas altas frequências do sinal de áudio.
Provas
Caderno Container