Foram encontradas 120 questões.
Com base nessas informações e considerando que
De acordo com esse estudo, tem-se
Provas
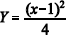
Considerando que, nessa situação hipotética, as variáveis aleatórias X e Y sejam independentes e que S = X + Y, julgue o seguinte item.
Se μ e σ representarem, respectivamente, a média e o desvio padrão da variável aleatória S, então
Provas
- Estatística DescritivaMedidas de Dispersão
- Estatística DescritivaMedidas de Tendência Central
- Estatística InferencialFunções Densidade de Probabilidade
- Probabilidades
em que x é um número real.
Provas
em que x é um número real.
A probabilidade de se observar o evento [X = 1] é igual a ![]()
Provas
em que x é um número real.
Provas
em que x é um número real.
Provas
em que x é um número real.
Provas

Internet: <http://portal.inep.gov.br> (com adaptações).

O conceito médio da graduação (G) é um indicador calculado pelo INEP (Instituto Nacional de Estudos e Pesquisas Educacionais Anísio Teixeira) para a avaliação da qualidade doscursos de graduação das instituições de ensino superior. A figura apresentada mostra, esquematicamente, as distribuições desseindicador nas instituições privadas e públicas, referentes ao ano de 2013, e a tabela apresenta algumas estatísticas descritivas referentes a essas distribuições.
O coeficiente percentílico de curtose da distribuição do indicador G nas instituições privadas é inferior ao coeficiente percentílico de curtose desse mesmo indicador nas instituições públicas.
Provas

Internet: <http://portal.inep.gov.br> (com adaptações).

O conceito médio da graduação (G) é um indicador calculado pelo INEP (Instituto Nacional de Estudos e Pesquisas Educacionais Anísio Teixeira) para a avaliação da qualidade doscursos de graduação das instituições de ensino superior. A figura apresentada mostra, esquematicamente, as distribuições desseindicador nas instituições privadas e públicas, referentes ao ano de 2013, e a tabela apresenta algumas estatísticas descritivas referentes a essas distribuições.
Com base nessas informações, julgue o próximo item.
De acordo com os coeficientes de assimetria de Pearson, queconsideram a média amostral, a mediana e os quartis, sugerem que ambas as distribuições são simétricas.
Provas
- Estatística DescritivaMedidas de Dispersão
- Estatística DescritivaMedidas de Tendência CentralQuartil, Decil e Percentil

Internet: <http://portal.inep.gov.br> (com adaptações).

O conceito médio da graduação (G) é um indicador calculado pelo INEP (Instituto Nacional de Estudos e Pesquisas Educacionais Anísio Teixeira) para a avaliação da qualidade doscursos de graduação das instituições de ensino superior. A figura apresentada mostra, esquematicamente, as distribuições desseindicador nas instituições privadas e públicas, referentes ao ano de 2013, e a tabela apresenta algumas estatísticas descritivas referentes a essas distribuições.
Com base nessas informações, julgue o próximo item.
A comparação entre os coeficientes de variação das distribuições do indicador G nas instituições privadas e públicas permite concluir que a primeira distribuição é mais homocedástica que a segunda.
Provas
Caderno Container