Foram encontradas 1.484 questões.
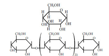
Elaborou-se uma série de experimentos para a análise de carboidratos, proteínas e nucleotídeos, que permitissem também a observação de atividade enzimática, conforme descrição a seguir.
I Foram adicionadas gotas de lugol e de reagente de Fehling a fatias de banana verde e madura.
II Foi adicionada uma solução de saliva aos dois tipos de banana e, posteriormente, as mesmas adições de reagentes foram repetidas.
III Por meio de trituração de um dos tipos de banana, adição de detergente e cloreto de sódio, realização de aquecimento e resfriamento, em etapas, e adição de etanol gelado, foi obtida uma fração enriquecida em ácidos nucléicos, que pôde ser visualizada como filamentos, os quais puderam ser enrolados em um bastão de vidro.
IV Foram dosados proteínas e aminoácidos livres em uma solução de clara de ovo, procedimento repetido após a adição de pepsina.
Considerando os procedimentos experimentais mencionados, julgue os itens que se seguem.
No experimento I, foram coradas moléculas com estruturas semelhantes às mostradas abaixo.

Provas
Julgue os itens que se seguem acerca da compra de microcomputadores e de material bibliográfico para uma biblioteca de uma instituição federal de ensino superior por meio de licitação.
A compra só poderá ser realizada à vista, uma vez que a modalidade de compra por licitação não prevê o parcelamento do pagamento.
Provas
Julgue os itens que se seguem acerca da compra de microcomputadores e de material bibliográfico para uma biblioteca de uma instituição federal de ensino superior por meio de licitação.
No edital de licitação, deve constar a especificação completa dos equipamentos, incluindo a marca e o fabricante.
Provas
- Automação de Bibliotecas
- Organização e tratamento da informaçãoNormas técnicas para a área de documentação

A indicação do endereço eletrônico da obra consultada online segue a determinação da norma de referência bibliográfica.
Provas

Mesmo que a publicação adote a numeração do volume em ano, a indicação ano 26 está incorreta, pois deveria ser v. 26.
Provas

A informação Suplemento, colocada ao final da referência bibliográfica é um elemento essencial.
Provas

A abreviação correta do título do periódico no qual o artigo referenciado foi publicado é R. Bras. Com. Ext.
Provas
- Planejamento, gestão da informação e do conhecimentoGestão do conhecimentoResumos e índices: tipos e funções.
Julgue os próximos itens referentes a índices, resumos e respectivas normas brasileiras.
Todos os tipos de resumo cumprem a função de facilitar a seleção dos documentos que têm potencial de satisfazer uma necessidade de informação do usuário.
Provas
Julgue os próximos itens referentes a índices, resumos e respectivas normas brasileiras.
Segundo a NBR 6028, a recensão é um tipo de resumo informativo que analisa apenas uma edição entre várias de um mesmo documento.
Provas
- Planejamento, gestão da informação e do conhecimentoGestão do conhecimentoResumos e índices: tipos e funções.
Julgue os próximos itens referentes a índices, resumos e respectivas normas brasileiras.
O uso da remissiva ver também, em índices, remete a um termo sinônimo do termo utilizado no cabeçalho.
Provas
Caderno Container