Foram encontradas 50 questões.
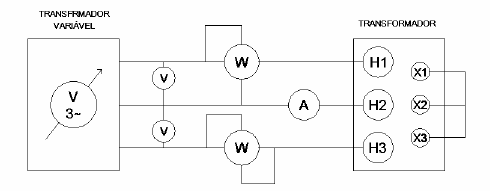
O ensaio demonstrado abaixo é usado para determinar algumas características básicas de um transformador.

Assinale a alternativa que NÃO corresponde às grandezas que podem ser determinadas com este ensaio.
Provas
Um hipotético transformador monofásico ideal, cuja relação de transformação N1/N2 é igual a 20, tem seu enrolamento primário ligada a uma fonte de corrente alternada cuja tensão eficaz é de 220 Volts, a mesma alimenta uma carga composta por uma lâmpada halógena que dissipa 1500W de potência na tensão em que está ligada. Avaliando o circuito podemos chegar à conclusão que:
(1) A tensão eficaz no secundário é de 11 Volts.
(2) A potência no primário é 20 vezes menor que a potência no secundário para esta carga.
(3) A corrente no secundário é vinte vezes maior que a corrente no primário para esta carga.
Assinale a alternativa CORRETA.
Provas
A fim de calcular o custo do uso de aspiradores de pó em um posto de lavagem automotivo, um técnico verifica a potência nominal de 1600W dos aspiradores. Esses aspiradores são utilizados em média por 15 minutos por carro e são realizadas em média 600 lavagens por mês. Sabendo que o custo do kWh na concessionária de energia já inclusos os impostos e taxas é de R$ 0,50 (cinquenta centavos de real), assinale a alternativa que contém o custo efetivo mensal da utilização do aspirador de pó.
Provas
Em meados do século XVIII, Benjamin Franklin descobriu que os relâmpagos são o mesmo que descargas elétricas e, através de experiências, inventou o pára-raios, que é utilizado até hoje na proteção contra descargas atmosféricas de construções. Assinale a alternativa INCORRETA sobre Sistemas de Proteção contra Descargas Atmosféricas (SPDA).
Provas
A simbologia representada abaixo, segundo o padrão ABNT, representa graficamente os elementos utilizados em instalações elétricas prediais. Assinale a alternativa que contém o significado dos símbolos.

Provas
Qual dos diagramas abaixo representa um aterramento com configuração TN-S?
Provas
Um eletrotécnico deseja verificar as grandezas elétricas de um aparelho de ar-condicionado em uma determinada instalação elétrica. Para isto, ele utiliza um alicate volt-amperímetro. Conforme a imagem abaixo.
Analisando a figura e as afirmativas abaixo:

(1) Nesta configuração é possível saber a tensão e a intensidade de corrente do ar-condicionado.
(2) Neste caso com a pinça amperimétrica do instrumento envolvendo o cabo de alimentação do equipamento energizado, a intensidade de corrente medida com o instrumento é zero.
(3) A medição de corrente e tensão é realizada de forma indireta com o alicate volt-amperímetro, pois o mesmo não tem nenhum contato elétrico com o circuito elétrico.
(4) O alicate volt-amperímetro utiliza um transformador de corrente como transdutor para medir a intensidade de corrente da instalação elétrica.
Assinale a alternativa CORRETA.
Provas
Um hospital estava pagando altos valores por energia reativa excedida, seu técnico de manutenção verificou que sua demanda média mensal era de 150 kVA , e seu fator de potência era 0,8. O técnico então aconselhou a instalação de um banco de capacitores para corrigir este fator de potência para 0,94. Assinale a alternativa que contém a potência nominal do banco de capacitores necessária para esta correção.
Provas
Em relação o estudo do eletromagnetismo considere as afirmativas abaixo.
(1) Todo condutor percorrido por corrente elétrica produz um campo magnético perpendicular ao seu eixo.
(2) Um condutor percorrido por corrente elétrica, dentro de um campo magnético, sofre a ação de uma força eletromagnética.
(3) Ao movimentarmos um imã permanente próximo a um condutor, é gerada uma corrente elétrica no condutor apenas no momento que o imã está em movimento.
Assinale a alternativa CORRETA.
Provas
Dois multímetros A e B, analógicos com mesmo fundo de escala, são utilizados para medir a tensão em um circuito elétrico. O técnico faz a leitura com o multímetro A e verifica que a leitura é 52 volts, em um procedimento redundante ele executa a medida com o multímetro B e verifica que a tensão medida foi de 47 volts. Com valores conflitantes, o técnico busca nas características técnicas do multímetro qual parâmetro para determinar o instrumento com o valor que mais se aproxima do valor real.
Provas
Caderno Container