Magna Concursos

Foram encontradas 50 questões.

1443652 Ano: 2022
Disciplina: Química
Banca: VUNESP
Orgão: FICSAE
Provas:

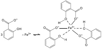
A detecção de ácido acetilsalicílico (AAS) em fármacos é realizada a partir da reação de Trinder, em que íons Fe3+ formam um complexo violeta em presença de íons salicilato, derivados do AAS. A fórmula do AAS e a reação de formação do complexo salicilato-Fe(III) estão mostradas a seguir.

Enunciado 3000346-1

ácido acetilsalicílico (AAS)

Formação do complexo salicilato-Fe(III) de cor violeta

Enunciado 3000346-2

(qnesc.sbq.org.br)

Em uma determinação de AAS presente em um fármaco, verificou-se que 50 mL de uma solução de íons salicilato consumiram 5,6 mg de íons Fe3+. O nome da reação química responsável pela formação do íon salicilato a partir do AAS e a concentração de íons salicilato, em mol/L, na solução analisada são

 

Provas

Questão presente nas seguintes provas
1443651 Ano: 2022
Disciplina: Química
Banca: VUNESP
Orgão: FICSAE
Provas:

Ensaios de corrosão atmosférica consistem em submeter diferentes materiais a vapores e a gases constituintes do ar atmosférico, em câmaras fechadas, com o objetivo de avaliar a resistência desses materiais à corrosão. Em quatro tubos de ensaio, 1, 2, 3 e 4, com tampa, peças de níquel (Ni), zinco (Zn), aço galvanizado (liga de ferro – Fe – revestida com zinco) e cobre (Cu) foram submetidas, separadamente, a uma atmosfera contendo vapor d’água e os gases oxigênio (O2), nitrogênio (N2) e dióxido de enxofre (SO2), conforme as figuras.

Enunciado 3000345-1

A tabela apresenta os potenciais de redução de algumas espécies químicas envolvidas nesse ensaio.

Equação

Potencial padrão

de redução (V)

Zn2+ + 2e → Zn

- 0,76

Fe2+ + 2e → Fe

- 0,44

Ni2+ + 2e → Ni

- 0,23

2H+ + 2e → H2

0,00

Cu2+ + 2e → Cu

+0,34

2H+ + !$ large{1 over 2} !$O2 + 2e → H2O

+1,23

Considerando que o SO2 gasoso reage com o vapor d’água da atmosfera do tubo produzindo quantidades adequadas de íons H+ (aq), nas condições padrão, ao final desse ensaio ocorrerá corrosão

 

Provas

Questão presente nas seguintes provas
1443650 Ano: 2022
Disciplina: Química
Banca: VUNESP
Orgão: FICSAE
Provas:

O estudo da cinética de uma reação química elementar de ordem global igual a 3 mostrou que a velocidade da reação aumenta 4 vezes quando a concentração de um dos reagentes é dobrada. A equação balanceada dessa reação é:

 

Provas

Questão presente nas seguintes provas
1443649 Ano: 2022
Disciplina: Química
Banca: VUNESP
Orgão: FICSAE
Provas:

O interior de submarinos é um ambiente hermético. Quando tripulado, a renovação do ar nesse ambiente ocorre pela reação entre o gás carbônico (CO2) exalado pelos tripulantes e o superóxido de potássio (KO2). Essa reação, além de remover o gás carbônico do ar, produz carbonato de potássio (K2CO3) e gás oxigênio (O2), que é liberado para o ambiente e utilizado na respiração. Considere que um tripulante de um submarino libere um volume de gás carbônico igual a 625 L por dia, e que o volume molar dos gases nas condições da atmosfera de um submarino seja igual a 25 L/mol. A massa de superóxido de potássio necessária para consumir totalmente o gás carbônico diário desse tripulante, considerando a reação com rendimento de 100%, é igual a

 

Provas

Questão presente nas seguintes provas
1443648 Ano: 2022
Disciplina: Química
Banca: VUNESP
Orgão: FICSAE
Provas:

Uma situação inusitada ocorreu com uma atleta japonesa que ganhou uma medalha de ouro nas Olimpíadas de Tóquio: sua medalha teve de ser trocada por uma nova. O motivo foi o fato de o prefeito de sua cidade ter mordido a medalha em uma cerimônia, uma atitude considerada desrespeitosa e anti-higiênica. A prática de morder peças de ouro vem da Idade Média, quando comerciantes utilizavam esse recurso para verificar se as moedas dadas como pagamento eram de ouro puro, já que ele é bastante , deixando uma marca. No entanto, a confirmação da composição de materiais deve ser comprovada por outras propriedades específicas dos materiais, como a .

As lacunas do texto são respectivamente preenchidas por

 

Provas

Questão presente nas seguintes provas
1443647 Ano: 2022
Disciplina: História
Banca: VUNESP
Orgão: FICSAE
Provas:

Uma das coisas que fazem esse conflito ser particularmente difícil é o fato de que o conflito israelo-palestino, a luta árabe-israelense, acontece entre duas vítimas. Duas vítimas do mesmo opressor. A Europa, que colonizou o mundo árabe, o explorou, o humilhou, tripudiou sobre sua cultura, o controlou e usou como um playground imperialista, é a mesma Europa que discriminou os judeus, os perseguiu, os atormentou e por fim os assassinou em massa num crime de genocídio sem precedentes.

(Amóz Oz. Como curar um fanático, 2016.)

O excerto associa o conflito entre israelenses e palestinos

 

Provas

Questão presente nas seguintes provas
1443646 Ano: 2022
Disciplina: História
Banca: VUNESP
Orgão: FICSAE
Provas:

Homem da velocidade e do dinamismo, Juscelino Kubitschek prometeu fazer em cinco anos o que normalmente se faria em cinquenta e deu a esse projeto o nome de Plano de Metas. Seu governo foi marcado por uma onda de progresso em que tiveram destaque os grandes avanços nas indústrias automobilística e naval. Foram construídas usinas hidrelétricas, como Furnas e Três Marias, e abertas grandes rodovias.

(Isabel Lustosa. A história do Brasil explicada aos meus filhos, 2012.)

O projeto mencionado no texto

 

Provas

Questão presente nas seguintes provas
1443645 Ano: 2022
Disciplina: História
Banca: VUNESP
Orgão: FICSAE
Provas:

As teorias da administração do trabalho industrial assalariado que apareceram no final do século XIX voltavam-se apenas para a disciplina e a produtividade do trabalho no interior das empresas. Em princípio, todos os demais aspectos da vida do operário (família, moradia, instrução, consumo, lazer etc.) diziam respeito somente a ele [...].

Algo muito distinto ocorreu com a administração de escravos. As teorias de gestão escravista se ocupavam de todas as esferas da vida do cativo (alimentação, moradia, família etc.), e não apenas da disciplina e da produtividade do trabalho.

(Rafael de Bivar Marquese. Feitores do corpo, missionários da mente: senhores, letrados e o controle dos escravos nas Américas, 1660-1860, 2004.)

As duas formas de administração do trabalho apresentadas no excerto são distintas,

 

Provas

Questão presente nas seguintes provas
1443644 Ano: 2022
Disciplina: História
Banca: VUNESP
Orgão: FICSAE
Provas:

Vários foram os papéis da agricultura de subsistência na Colônia portuguesa que se implantava. Destacaremos dois: o de ocupar a terra, desbravando-a e povoando-a e, ainda, o de organizar-se sob formas de trabalho familiar para produzir excedentes e atender, progressivamente, às necessidades dos núcleos urbanos em expansão, além de suprir as frotas que se dirigiam ao sul e à África.

(Maria Yedda Linhares. “Pecuária, alimentos e sistemas agrários no Brasil (séculos XVII e XVIII). In: Tempo. Vol. 1, nº 2, 1996.)

O excerto caracteriza a agricultura de subsistência no Brasil colonial como

 

Provas

Questão presente nas seguintes provas
1443643 Ano: 2022
Disciplina: História
Banca: VUNESP
Orgão: FICSAE
Provas:

Na Antiguidade, todas as comunidades do Mediterrâneo viviam numa rede de conexões, não existiam isoladamente, mas no interior de uma grande teia de relações.

(Norberto Luiz Guarinello. História antiga, 2013. Adaptado.)

A “teia de relações” citada no excerto era formada

 

Provas

Questão presente nas seguintes provas