Foram encontradas 1.633 questões.
O tempo gasto para que a concentração plasmática de um fármaco no organismo se reduza à metade é denominado meia-vida. Com essa informação, é possível conhecer o tempo necessário para a excreção do princípio ativo em níveis aceitáveis. Considerando que a constante de velocidade de metabolização de um fármaco é de !$ 3 \times 10^{-4}s^{-1} !$ e que a concentração administrada do mesmo é de 200 mg, o tempo necessário para que a concentração se reduza a 3,125 mg é de: (Dados: ln 2 = 0,69)
Provas
A síntese de Haber-Bosch originou-se na Alemanha durante a Primeira Grande Guerra com o intuito de produzir em larga escala o amoníaco e suprir a demanda de explosivos. Hoje, largamente usada na indústria de fertilizantes, sua técnica permanece a mesma, sob condições de 200 atm e temperatura média de 450 ºC, gás hidrogênio e gás nitrogênio são misturados, produzindo amônia com óxido de ferro como catalisador, segundo a equação não balanceada abaixo:
![]()
Para melhorar o rendimento dessa síntese, duas modificações podem ser feitas sobre o sistema:
Provas
Para quantificar o ferro em uma amostra de pastilhas de sulfato ferroso, pode-se dissolver e solubilizar a pastilha e então adicionar carbonato de sódio ao sistema. Um precipitado verde escuro irá se formar no final do recipiente e um gás se desprenderá da solução. O precipitado seco e exposto ao ar adquire a coloração vermelho-tijolo e sua pesagem pode revelar a quantidade de analito de interesse. O estado de oxidação do ferro, ao final do processo, e o gás liberado durante a reação são, respectivamente:
Provas
A primeira “tinta invisível” foi utilizada durante a Segunda Guerra Mundial e consistia em um processo simples de duas etapas: escrever a mensagem sobre um papel de gramatura alta com uma solução de nitrato de chumbo, e posteriormente, revelar o conteúdo da mensagem passando um algodão embebido de uma solução sobre o papel para realizar uma reação de precipitação. A solução mais indicada para realizar a revelação é a de:
Provas
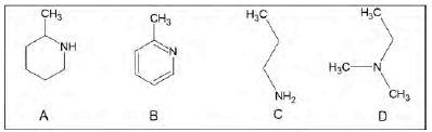
Apresentam-se no quadro, possíveis ligantes de um composto de coordenação:

Os compostos de coordenação podem ser entendidos como o produto da reação entre um ácido de Lewis, o centro metálico, e uma base de Lewis, o ligante. Analisando a estrutura desses ligantes entende-se que quanto maior a basicidade mais forte é a interação entre ligante e metal, ou seja, maior força de ligação. Considerando o mesmo centro metálico, a ordem crescente de força de ligação em relação aos ligantes é:
Provas
O CFC compreende uma vasta gama de produtos usados na refrigeração industrial e comercial. Na presença de luz ultraviolenta, esse composto libera átomos de cloro que por sua vez reagem com o ozônio conforme o mecanismo ilustrado em sua superfície de energia potencial (sigla SEP):

Ao comparar o mecanismo com a SEP, pode-se concluir que a espécie II indicada no diagrama é o:
Provas
Medir diretamente a entalpia de formação do benzeno a partir da reação entre carbono e gás hidrogênio é uma tarefa muito difícil, porém pode-se fazer uso da Lei de Hess, usando as equações de oxidação a seguir:

Conclui-se que o ΔH de formação do benzeno é:
Provas
Para realizar uma cultura de bactérias um técnico precisa preparar uma solução de tampão de acético. Caso o pH final não esteja de acordo com o esperado, todo o experimento é prejudicado. Partindo da concentração 0,08 mol/L de acetato de sódio e 0,04 mol/L de ácido acético o pH final da solução é: (Dados: Ka = 1,8 × 10– 5 ; log 2 = 0,3; log 3 = 0,47)
Provas
O transporte de oxigênio no corpo humano pode ser representado pela simplificação do equilíbrio químico a seguir:
![]()
(Onde Hb é a hemoglobina e HbO é oxi- 2 hemoglobina.) O rendimento físico de um atleta está ligado, entre outros fatores, à capacidade de metabolizar oxigênio, o que pode ser prejudicado pela altitude na qual a atividade física está sendo realizada. Assim, um atleta acostumado a treinar no Rio de Janeiro (nível do mar) tem seus resultados físicos prejudicados quando compete na Cidade do México (2250 m acima do nível do mar) pois, nessa altitude, a pressão:
Provas
A tabela apresenta algumas entalpias de ligação:

Sabendo que o etanol é vaporizado (ΔHvap = 43,5 kJ/mol) no motor de combustão antes da sua reação com o oxigênio, a entalpia de combustão do etanol líquido é:
Provas
Caderno Container