Foram encontradas 50 questões.
Um recipiente hermético de volume 0,09 m3 contém cerca de 5 kg do refrigerante 134a. Com a utilização de um instrumento de medida, verifica-se que a mistura líquido-vapor está a -45 ºC

F o n t e : h t t p s : / / e d i s c i p l i n a s . u s p . b r / p l u g i n fi l e . p h p / 4 5 2 5 8 0 8 / m o d _ f o l d e r / c o n t e n t / 0 / P M E 3 3 9 8 % 2 0 - %20Tabelas%20Termodin%C3%A2micas.pdf?forcedownload=1
O valor, aproximado, para o título da mistura é:
Provas
Levando em consideração um motor que utiliza o ciclo Otto de quatro tempos, as partes principais de um sistema de lubrificação desse tipo de motor são:
Provas
Com relação à ação dos lubrificantes nos motores, dentre todas as suas funções, pode-se afirmar que os lubrificantes:
Provas
Um cilindro de O2 pressurizado tem diâmetro da base e altura iguais a 30 cm e altura 160 cm. As dimensões do cilindro são regulares. Sabendo que a pressão interna é 150 atm e a temperatura é de 27 °C, o valor da massa de O² contida no cilindro é: Dados: R=0,08 L. atm.mol-1.K-1, massa molar do oxigênio é 32 g/mol e !$ \pi = 3 !$
Provas
Em um experimento, o engenheiro quer determinar o efeito capilar em um tubo. O efeito capilar ocorre quando um fino tubo é colocado perpendicularmente à superfície d'água, onde uma parte dele fica submersa e outra não. O resultado desse processo é que, dentro do tubo, a superfície livre fica ligeiramente acima do nível da água fora do tubo. Um dos resultados do experimento mostra que o módulo do efeito capilar é uma função da tensão superficial e a densidade do fluido e o diâmetro do tubo. Com base nessas informações, o engenheiro pode afirmar que:
Provas
Uma chapa de aço encontra-se em um ambiente que impõe um fluxo de calor constante igual a 900 2 W/m em uma de suas superfícies. Na outra face, a transferência de calor é realizada por convecção para o ar a uma temperatura igual a 15 °C e o coeficiente 2 de transferência de calor é igual a 90 W/(m2. °C). Sabendo que a espessura da chapa é de 10 cm e a condutividade térmica é igual a 30 W/(m. °C), a temperatura, em °C, da superfície que dissipa o calor por convecção é:
Provas
Nos projetos que envolvem escoamento de fluidos em tubulações, a equação de Darcy- Weisbach é utilizada para calcular a perda de carga distribuída em trechos retilíneos da planta da trajetória do fluido. Para um trecho de tubulação retilíneo de 10 m de comprimento e diâmetro de 8 cm 3 e um fluido que tem densidade igual a 1400 kg/m3 e escoa com uma velocidade igual a 4 m/s, a perda de carga distribuída nesse trecho de tubulação, considerando o coeficiente de perda de carga estimado em 0,02 e a aceleração da gravidade igual a 2 10 m/s2, é:
Provas
O engenheiro projetista, para resolver o problema de superaquecimento de um equipamento, resolveu aumentar a transferência convectiva de calor entre a superfície e o fluido ambiente que tem sempre temperatura menor do que a superfície. Para isso substituiu a superfície lisa antiga por uma superfície com aletas muito longas. Com o objetivo de resolver a equação de energia nessas condições, pode-se assumir que:
Provas
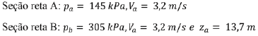
A perda de carga é uma condição importante nos projetos hidráulicos. Nesse sentido, um engenheiro tem acesso às seguintes informações para um escoamento de água a 20 °C com densidade 3 igual a 1g/cm3.

Dados do tubo: diâmetro igual a 8 cm.
Considerando a aceleração da gravidade igual a 2 10m/s no local do escoamento, a perda de carga, em módulo e em kPa, é:
Provas
Sobre os motores de combustão interna é correto afirmar que :
Provas
Caderno Container