Foram encontradas 70 questões.
Na gestão de manutenção, é necessário que haja manutenções de forma periódica para aumentar a eficiência da produção. A respeito dos tipos de manutenção planejada e não planejada, informe se é verdadeiro (V) ou falso (F) o que se afirma a seguir e assinale a alternativa com a sequência correta.
( ) A manutenção de ocasião é um tipo de manutenção planejada.
( ) A manutenção corretiva tem o objetivo de localizar e reparar equipamentos que operam em regime de trabalho contínuo.
( ) A manutenção preditiva é um tipo de manutenção não planejada.
Provas
Os cabos isolados, utilizados em instalações elétricas, podem ter a sua isolação realizada por diversos materiais. Quanto à isolação de cabos elétricos, analise os tipos de isolações descritos a seguir, informe verdadeiro (V) ou falso (F) e assinale a alternativa com a sequência correta.
( ) Cloreto de Polivinila.
( ) EPR.
( ) XLPE.
Provas
Em aplicações elétricas, são utilizados cabos com diversas funções. Sobre cabos, analise as assertivas e assinale a alternativa que aponta a(s) correta(s).
I. A resistência elétrica em um cabo é diretamente proporcional à área de sua seção e inversamente proporcional ao seu comprimento.
II. O revestimento dos cabos elétricos pode ser realizado em PVC.
III. Os cabos UTP possuem blindagem e são feitos de fios de cobre trançado.
Provas
Considere o circuito da figura a seguir, em que o resistor R1 dissipa certa potência, e assinale a alternativa que apresenta o valor correto da potência dissipada pelo resistor R3.

Provas
As chaves de partida soft-starters são utilizadas no comando de motores elétricos. Em relação a esse tema, analise as assertivas e assinale a alternativa que aponta as corretas.
I. O Soft-Starter utiliza tiristores para ajustar a tensão entregue ao motor.
II. O Soft-Starter pode possuir a função conhecida como kick start, que se trata de um pulso de tensão de partida.
III. O Soft-Starter varia a frequência da rede elétrica na sua rampa de aceleração e desaceleração.
Provas
A respeito de partida de motores, informe se é verdadeiro (V) ou falso (F) o que se afirma a seguir e assinale a alternativa com a sequência correta.
( ) Na partida estrela-triângulo, há pelo menos um temporizador.
( ) A partida direta possui um conjugado de partida baixo.
( ) No diagrama de comando da partida direta, são necessários, no mínimo, dois contatores.
( ) Na partida com chave compensadora feita com um autotransformador, há pelo menos três bobinas de contatores e um temporizador.
Provas
Observe o diagrama em Ladder da seguinte figura, em que I.1, I.2 e I.3 são botões e Q.1 e Q.2 são lâmpadas.

Considerando o diagrama em Ladder apresentado, informe se é verdadeiro (V) ou falso (F) o que se afirma a seguir e assinale a alternativa com a sequência correta.
( ) Sempre que a lâmpada Q.2 está acesa, a lâmpada Q.1 também está acesa.
( ) Há uma maneira de manter as lâmpadas acesas com o botão I.2 desacionado.
( ) Para manter a lâmpada Q.2 acesa, é necessário manter o botão I.3 acionado.
( ) Quando o botão I.1 está desligado, todas as lâmpadas estão acesas.
Provas
Uma instalação industrial possui uma demanda média de 700 kVA com um fator de potência de 0,83. Para fazer a correção do fator de potência da instalação para 0,95, qual deve ser a potência nominal necessária dos capacitores para essa correção?
Considere: cos (18,2°) = 0,95; sen (18,2°) = 0,31; cos (33,9°) = 0,83; sen (33,9°) = 0,56.
Provas
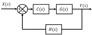
Os sistemas de controle podem ser representados na forma de diagrama de blocos. Considere a representação do sistema controlado apresentado na figura a seguir:

Assinale a alternativa que apresenta a relação da saída Y(s) pela entrada X(s).
Provas
Um circuito digital possui, em sua saída X, a equação booleana dada por:
\( X \) = [\( M \) ∙ \( \overline{N} \) ∙ (\( O \) + \( N \) ∙ \( P \)) + \( \overline{M} \) ∙ \( \overline{N} \) ] ∙ \( O \)
Assinale a alternativa que apresenta a equação simplificada equivalente da saída X desse circuito.
Provas
Caderno Container