Foram encontradas 513 questões.
Provas
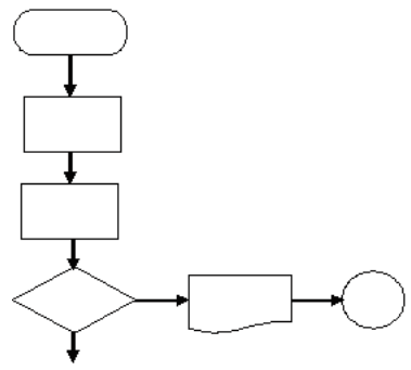
Observe o fluxograma abaixo representado.

Considerando-se que este fluxograma está incompleto, mas que possua ainda relação com uma determinada atividade empresarial, é correto afirmar que
Provas
As empresas de qualquer porte ou setor podem se servir de um ambiente de trabalho onde haja harmonia e sinergia de funções. Dessa forma, os conceitos de Herzberg (2009) indicam diversos fatores que podem motivar uma equipe multifuncional a produzir resultados de forma mais otimizada.
Associe as colunas, relacionando o fator aos eventos empresariais correspondentes.
FATORES
(1) Motivacionais
(2) Higiênicos
EVENTOS EMPRESARIAIS
( ) As relações de subordinação vão de encontro aos interesses pessoais de obtenção de vantagens.
( ) Com os novos uniformes, a empresa espera melhorar a autoestima e a segurança dos funcionários.
( ) O uso de EPI pode representar para um funcionário uma limitação da sua atividade motora, embora atue com segurança.
( ) O status de pertencimento a uma organização favorece o desempenho de um membro da equipe e sua relação com os demais.
( ) As condições de trabalho vão mais além do que bons refeitórios e vestiários; os funcionários prescindem de mais benfeitorias.
( ) Ficou provado que não há relação entre as normas de uma empresa e a produtividade individual que, eventualmente, possui causas pessoais.
A sequência correta dessa associação é
Provas
- Gestão de ProcessosOrganizações, Sistemas e Métodos
- PODC: Processo OrganizacionalProcesso Administrativo: OrganizaçãoEstrutura Organizacional
Indique se é verdadeiro (V) ou falso (F) o que se afirma em relação aos conteúdos de Estrutura Organizacional.
( ) A estrutura em rede é a forma que todas as empresa deveriam seguir.
( ) As estruturas em linha também são conhecidas como estruturas militares.
( ) As estruturas staff and line possuem apenas linhas tracejadas de conexão.
( ) As estruturas matriciais possuem dinamismo maior do que as estruturas rígidas.
De acordo com as afirmações, a sequência correta é
Provas
- Gestão de ProcessosOrganizações, Sistemas e Métodos
- PODC: Processo OrganizacionalProcesso Administrativo: OrganizaçãoEstrutura OrganizacionalDelegação, Centralização e Descentralização
Muito discutido dentro da administração e ainda pouco estruturado, o enpowerment depende da ruptura de fortes amarras culturais verificadas no meio empresarial. Contudo, observam-se, desde o século XX, esforços acadêmicos e empresariais de flexibilização da responsabilidade pelos resultados de uma organização, como efeito direto do uso da delegação de tarefas e do comando para determinadas atividades.
A esse respeito, analise as asserções abaixo e a relação proposta entre elas.
I . Em nossa organização ocorre a descentralização, pois as tarefas de organização e de controle estão mais relacionadas com níveis intermediários e a base da pirâmide.
PORQUE
II . Em uma estrutura descentralizada, o gestor principal cede parte da sua autoridade de direção da empresa como um todo, concentrando-se apenas nas atividades dos níveis hierárquicos mais altos.
Sobre essas asserções, é correto afirmar que
Provas
De acordo com SocialBase (2013, s/p),
Se integrada à comunicação interna, a tecnologia pode facilitar a manifestação e a interação da inteligência presentes em qualquer ambiente corporativo. Ela auxilia na construção de “canais internos” de comunicação que aumentam o contato entre os usuários. O grande desafio está na escolha de um mecanismo ideal que atenda aos objetivos da empresa. Entre as opções estão as redes sociais corporativas, a newsletter e a intranet. Elas devem ser simples, com ferramentas fáceis, intuitivas, atraentes e relevantes. O uso desse tipo de ferramenta permite o compartilhamento de arquivos e de informações, acesso à base de dados e conversas em tempo real.
Associe as colunas, relacionando corretamente os tipos de comunicação interpessoal na organização ao(s) evento(s) empresarial(is).
TIPOS DE COMUNICAÇÃO
(1) Verbal formal
(2) Verbal informal
(3) Não verbal formal
(4) Não verbal informal
EVENTOS EMPRESARIAIS
( ) O Sponsor de um projeto postou na intranet da empresa uma relação de projetos em atraso.
( ) Os Black belts de projeto comentaram entre si os efeitos da reunião ocorrida dois dias depois.
( ) Parte dos funcionários da matriz teve acesso aos dados enviados dos projetos atrasados horas depois.
( ) Os gerentes da autarquia trocaram consigo e-mails com dados sobre os projetos listados.
( ) O encarregado do almoxarife falou sobre os motivos dos atrasos dos projetos em reunião marcada para aquela tarde.
A sequência correta dessa associação é
Provas
Uma professora do Ensino Médio disse aos seus alunos três frases em um momento de reflexão com a turma sobre as atitudes dos estudantes.
1) Ou vocês estudam arduamente ou a maioria dos alunos será reprovada.
2) Se vocês estudam arduamente, então terão reconhecimento dos familiares.
3) Se continuarem a fazer bagunça durante as minhas aulas, então a maioria dos alunos será reprovada.
Suponha que os alunos continuaram a fazer bagunça durante as aulas. Considerando as três afirmativas realizadas pela professora como verdadeiras, é correto concluir que, certamente,
Provas
Provas
Alencar (2002, p.156) chama de “conjunto verdade de uma sentença aberta p(x) em um conjunto A o conjunto de todos os elementos a ∈ A tais que p(a) é uma proposição verdadeira.”
Considere a sentença aberta “x + 1 > 8” em N (conjunto dos números naturais).
Nesse caso, o conjunto verdade Vp é
Provas
Considere as duas proposições a seguir, identificadas como p e q.
p: O céu é verde.
q: A água do mar é doce.
Ao classificar as proposições p e q como verdadeiras ou falsas, é correto afirmar que a única operação lógica verdadeira, nesse caso, é
Provas
Caderno Container