Foram encontradas 816 questões.
Um carro de corrida com massa igual a 1.000 kg tem potência
efetiva máxima de 245 kW nas rodas de tração. Partindo
do repouso, esse carro arranca, acelerando com potência
máxima por 10 segundos. Supondo-se que não haja
perdas por atrito e que haja uma perfeita aderência das
rodas ao solo, a velocidade do carro, ao final de 10 segundos,
é
Provas
Questão presente nas seguintes provas

Provas
Questão presente nas seguintes provas
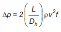
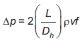
Considere um fluido incompressível de densidade p escoando
em um tubo de comprimento L e diâmetro hidráulico
Dh . Se o coeficiente de atrito no escoamento é dado por
f, e v é a velocidade do fluido no tubo, a expressão para a
diferença de pressão experimentada por esse fluido
incompressível é
Provas
Questão presente nas seguintes provas
A condutividade térmica de um revestimento isolante
em forma de uma folha rígida é de k = 0,030W. m.K-1.
A diferença de temperatura medida entre as superfícies
interna e externa da folha de 10 mm de espessura é de
10 ºC. Sendo assim, o fluxo térmico através dessa folha
isolante, sabendo-se que a mesma é retangular com dimensões
1 m x 2 m, é de
Provas
Questão presente nas seguintes provas

Provas
Questão presente nas seguintes provas

Provas
Questão presente nas seguintes provas
Uma forma de compensar a variação da reatividade durante
um ciclo de queima do combustível nuclear consiste
em utilizar substâncias denominadas venenos queimáveis.
Uma substância utilizada como veneno queimável em
reatores térmicos é
Provas
Questão presente nas seguintes provas
Em reatores nucleares térmicos, é utilizada na fabricação
das barras de controle uma liga metálica composta por
Prata, Índio e Cádmio (Ag-In-Cd) em uma proporção
aproximada de
Provas
Questão presente nas seguintes provas
Em reatores térmicos, x% de todo o calor gerado são liberados
nos elementos combustíveis, enquanto que y% de
todo o calor gerado são liberados no moderador e os z%
restantes são liberados no refletor e na blindagem. Os valores
percentuais aproximados de x, y e z são, respectivamente,
Provas
Questão presente nas seguintes provas

Provas
Questão presente nas seguintes provas
Cadernos
Caderno Container