Foram encontradas 621 questões.
Um ventilador de teto do tipo axial movimenta ar ambiente a uma velocidade de 5 m/s no plano do rotor. A área de passagem do ar pelo rotor é de 1,0 m² e a potência elétrica fornecida ao ventilador é 100 W. Se o rendimento do ventilador é 80%, o aumento de pressão que o ar sofre ao passar pelo rotor do ventilador é:
Provas
As máquinas de fluxo que podem ser citadas como exemplos daquelas em que o fluido absorve trabalho de eixo ao passar pelo rotor da máquina são:
Provas
Uma barra de aço com limite de escoamento de 640 MPa está submetida a uma torção de 10. N.m. Utilizando-se o critério de Coulomb (máximas tensões cisalhantes), e para um diâmetro de 10 mm, o coeficiente de segurança utilizado no projeto é:
Provas
O círculo de Mohr abaixo representa as tensões atuantes em um elemento no estado plano de tensões. Marque falso (F) ou verdadeiro (V) entre os parênteses correspondentes às afirmativas a seguir:

( ) O ponto 2 representa a tensão de cisalhamento máxima atuante no elemento.
( ) Os pontos 5 e 9 representam a tensão de cisalhamento compressiva atuante no elemento.
( ) Os pontos 3 e 8 representam as tensões máximas atuantes no elemento.
( ) Os pontos 1 e 4 representam as tensões principais atuantes no elemento.
A seqüência correta é:
Provas
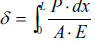
A deformação total de uma barra (
) de comprimento L, submetida a um esforço axial P, cuja área (A) é variável na direção x (direção do carregamento) é dada por:
Provas
O diagrama dos esforços cortantes correspondente à viga mostrada abaixo é:

Provas
Sobre a operação de trocadores de calor, é INCORRETO afirmar que:
Provas
Num trocador de calor com os fluidos em arranjo contracorrente, o coeficiente global médio de transmissão de calor é igual a 200 W/m2. ºC. As diferenças de temperaturas entre os fluidos frio e quente, nas duas extremidades do trocador, são iguais e com valor igual a 10ºC. Sabe-se ainda que a área de troca de calor é igual a 100 m2. Nessas condições, a taxa de calor em watts trocada entre os fluidos é:
Provas
Uma placa plana, com comprimento e largura muito maiores do que a espessura, separa dois fluidos cuja diferença entre suas temperaturas médias (média no espaço) é de 10oC. A espessura é igual a 1m e a condutividade térmica da placa é igual a 10 W /m.K. Os coeficientes de transmissão de calor médio convectivo entre os fluidos e as superfícies da placa são iguais a 5 W/m2.K.
A taxa de calor entre os dois fluidos em watts por metro quadrado é igual a:
Provas
Sobre um resistor elétrico cilíndrico e imerso no ar, analise as afirmativas referentes à circulação de uma corrente elétrica:
I - A temperatura do ponto central é a maior temperatura no interior do resistor.
II - Os mecanismos de dissipação do calor gerado por efeito joule na superfície do resistor são a convecção e a radiação térmicas.
III - Caso este resistor tenha um diâmetro reduzido e o ar externo for estagnado, a inserção de um revestimento externo poderá aumentar a dissipação de calor.
IV - No interior do resistor, o mecanismo de transmissão de calor dominante é a radiação térmica.
V - Quanto maior a condutividade térmica do material do resistor, menor a diferença de temperaturas entre a superfície e o centro.
A única afirmativa FALSA é:
Provas
Caderno Container