Foram encontradas 50 questões.
- Amp Op
- Eletrônica de Potência na Engenharia Eletrônica
- Eletrônica Digital na Engenharia Eletrônica
- Filtros
- Tiristor
- Transistores
De acordo com a análise do gráfico da figura a seguir, assinale a alternativa correta no que se refere aos circuitos integrados lineares.


Provas
Questão presente nas seguintes provas
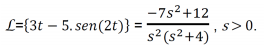
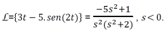
Um Engenheiro Eletricista se deparou com a seguinte Transformada de Laplace em seu projeto:
= {3t - 5. sen(2t)}. Calcule a Transformada de Laplace e assinale a alternativa correta.
= {3t - 5. sen(2t)}. Calcule a Transformada de Laplace e assinale a alternativa correta.Provas
Questão presente nas seguintes provas
De acordo com a figura a seguir, assinale a alternativa correta com relação aos circuitos lógicos combinacionais.


Provas
Questão presente nas seguintes provas
Um Engenheiro Eletricista, ao projetar o circuito de condicionamento de sinal da figura a seguir, deparou-se com a seguinte situação: sinal de entrada retangular em corrente contínua com faixa de variação de 0 a 50 mV no domínio do tempo, tendo 50% de ciclo ativo e frequência máxima de 100 Hz. Assinale a alternativa correta em relação ao circuito e ao sinal dados.


Provas
Questão presente nas seguintes provas
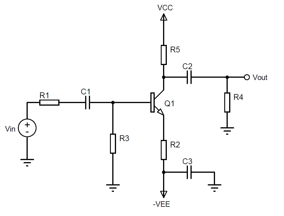
Um Engenheiro Eletricista está analisando o seguinte circuito de eletrônica. Ao interpretá-lo, o Engenheiro concluiu que esse circuito


Provas
Questão presente nas seguintes provas
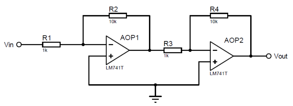
Um Engenheiro Eletricista, ao analisar o seguinte circuito, chegou a qual conclusão?


Provas
Questão presente nas seguintes provas
Durante o projeto de um sistema digital, um Engenheiro Eletricista encontrou o seguinte número decimal: 17810. A especificação do projeto exige que o referido valor seja exibido simultaneamente em um mostrador digital nos sistemas de numeração octal e binário. Assinale a alternativa que apresenta o valor dado em decimal, convertido nas bases octal e binário, respectivamente.
Provas
Questão presente nas seguintes provas
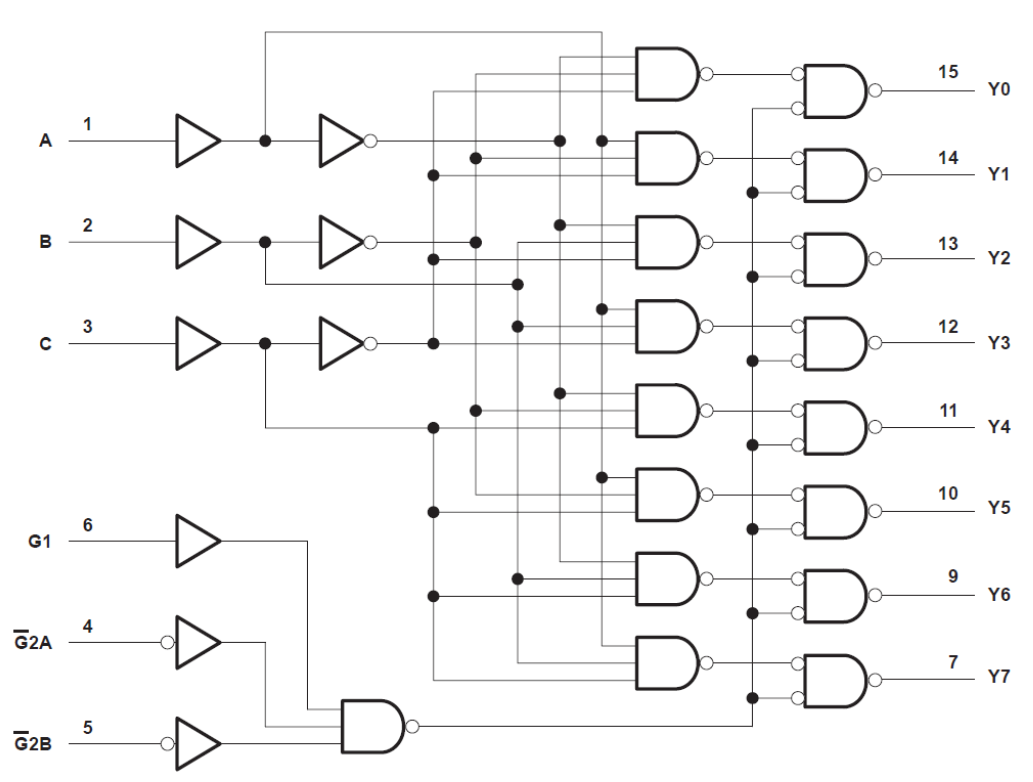
Assinale a alternativa correta em relação ao seguinte circuito lógico MSI.

Provas
Questão presente nas seguintes provas
Um Engenheiro Eletricista, ao projetar um sistema eletrônico, deparou-se com o seguinte circuito gerador de base de tempo. Considere os dados do circuito: CI1: NE555, R1=1,0 kΩ, R2=10,0 kΩ, C1=27,0 nF e C2=10,0 nF. De acordo com a análise do circuito e dos dados informados, assinale a alternativa correta.


Provas
Questão presente nas seguintes provas
Em um projeto de eletrônica embarcada, um Engenheiro Eletricista encontrou um dispositivo lógico programável e, em sua análise, deve concluir sobre seu funcionamento para interpretar as funções previstas para ele. Com base nos conceitos de dispositivos lógico programáveis, assinale a alternativa correta.
Provas
Questão presente nas seguintes provas
Cadernos
Caderno Container