Foram encontradas 349 questões.
O estilo de liderança descentralizada nos subordinados permite que o Administrador
Provas
Questão presente nas seguintes provas
Qual característica apresentada a seguir compreende um estilo de liderança voltada para a punição dos seus liderados?
Provas
Questão presente nas seguintes provas
De acordo com a linha proposta por Henri Fayol, assinale a alternativa que NÃO compõe o processo administrativo de uma organização.
Provas
Questão presente nas seguintes provas
- PODC: Processo OrganizacionalProcesso Administrativo: Planejamento
- Teorias da AdministraçãoAbordagem NeoclássicaTeoria Neoclássica da Administração
O planejamento é compreendido como qual função dentro de uma organização e que a partir dela sirva de base para as demais funções?
Provas
Questão presente nas seguintes provas
- Gestão de ProcessosOrganizações, Sistemas e Métodos
- PODC: Processo OrganizacionalProcesso Administrativo: OrganizaçãoEstrutura Organizacional
A relação com os colegas de trabalho e sua convivência é representada pela(s) relação(ões)
Provas
Questão presente nas seguintes provas
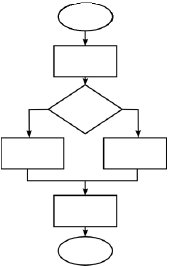
A apresentação em formato de figura, demonstrada a seguir, representa um


Provas
Questão presente nas seguintes provas
- Gestão de ProcessosOrganizações, Sistemas e Métodos
- PODC: Processo OrganizacionalProcesso Administrativo: OrganizaçãoEstrutura OrganizacionalDepartamentalização
A figura apresentada a seguir representa uma estrutura de departamentalização


Provas
Questão presente nas seguintes provas
Dentre as competências listadas na sequência, qual delas NÃO pode ser julgada como importante para o desempenho profissional.
Provas
Questão presente nas seguintes provas
O conceito de liderança apresenta diferentes abordagens. Qual delas representa uma liderança atípica de grupos?
Provas
Questão presente nas seguintes provas
No contexto de Tomada de Decisões Gerenciais, existe o processo de resolver problemas que são compreendidos como processos/etapas. Em qual destas etapas já é possível formular uma ou várias soluções potenciais para resolver o problema?
Provas
Questão presente nas seguintes provas
Cadernos
Caderno Container