Foram encontradas 985 questões.
A respeito dos tipos de relés descritos a seguir, relacione-os com suas características e assinale a alternativa com a sequência correta.
1. Relé de sobretensão.
2. Relé de subtensão.
3. Relé de Religamento.
( ) Opera quando a tensão elétrica diminui de um valor pré-ajustado.
( ) É um relé temporizado que efetua o fechamento do disjuntor em um circuito de corrente alternada
( ) Pela norma ANSI, é classificado pelo número 27.
( ) Tal relé funciona em série com um contato NF do disjuntor.
( ) Opera quando a tensão elétrica ultrapassa um valor especificado.
1. Relé de sobretensão.
2. Relé de subtensão.
3. Relé de Religamento.
( ) Opera quando a tensão elétrica diminui de um valor pré-ajustado.
( ) É um relé temporizado que efetua o fechamento do disjuntor em um circuito de corrente alternada
( ) Pela norma ANSI, é classificado pelo número 27.
( ) Tal relé funciona em série com um contato NF do disjuntor.
( ) Opera quando a tensão elétrica ultrapassa um valor especificado.
Provas
Questão presente nas seguintes provas
- Proteção de Sistemas ElétricosProteção em Média Tensão
- Sistemas Elétricos de PotênciaDistribuição de Energia Elétrica
Quanto aos relés de sobrecorrente, utilizados na proteção de sistemas elétricos, assinale a alternativa correta.
Provas
Questão presente nas seguintes provas
Assinale a alternativa INCORRETA no que tange ao curto-circuito em sistemas elétricos.
Provas
Questão presente nas seguintes provas
Considere que para suprir uma carga de 94 kW com Fator Potência de 0,83 atrasado, através de uma linha de transmissão cuja resistência seja de 0,09 O, a distribuidora de energia deva fornecer 100 kW. Nesse caso, a tensão efcaz (rms) na carga será, aproximadamente, igual a
Provas
Questão presente nas seguintes provas
A potência ativa consumida pela carga, no circuito da figura a seguir, é igual a


Provas
Questão presente nas seguintes provas
Uma carga balanceada de 30 kW e FP = 0,6 atrasada está conectada a uma rede trifásica de 240 kV (linha) e 60 Hz, conforme fgura a seguir. A potência aparente dessa carga é dada por


Provas
Questão presente nas seguintes provas
Suponha o Amplifcador Operacional ideal e com ganho A. A resistência de saída de Thévenin do circuito ilustrado na fgura a seguir, ou seja, a resistência vista entre os terminais X X, é dada por


Provas
Questão presente nas seguintes provas
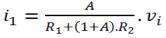
Para o circuito da figura a seguir, assumindo a resistência de entrada ri = 8, a resistência de saída rt = 0, e operações não saturadas, a expressão de i1 como função de Vi, R1 , R2 e do ganho A do Amplifcador Operacional é dada por


Provas
Questão presente nas seguintes provas
A expressão do ângulo de fase < H( jω), como uma função de ω , para o circuito da figura a seguir, é dada por


Provas
Questão presente nas seguintes provas
A resposta de entrada zero, do circuito RLC da fgura a seguir será


Provas
Questão presente nas seguintes provas
Cadernos
Caderno Container