Magna Concursos

Foram encontradas 680 questões.

3672343 Ano: 2025
Disciplina: Engenharia Civil
Banca: FGV
Orgão: DPE-RO
A curva S de uma obra mostra como evolui o volume de serviços de uma obra, ao longo do tempo.
Observando essa curva, percebe-se que o percentual construído por unidade de tempo é
 

Provas

Questão presente nas seguintes provas
3672342 Ano: 2025
Disciplina: Engenharia Civil
Banca: FGV
Orgão: DPE-RO
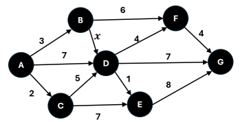
A figura a seguir mostra a rede PERT entre os estados A e G de uma obra, a qual envolve uma série de atividades, cujas durações, em unidades de tempo, são indicadas pelas setas.

Enunciado 4428086-1


A duração limite “x” da atividade entre os estados B e D, a partir da qual esta atividade passa a fazer parte de pelo menos um dos caminhos críticos dessa obra, vale:
 

Provas

Questão presente nas seguintes provas
3672341 Ano: 2025
Disciplina: Engenharia Civil
Banca: FGV
Orgão: DPE-RO
No processo de fabricação de determinada chapa de vidro foram introduzidos em seu interior fios metálicos, com o objetivo de que, uma vez sendo o vidro quebrado, seus estilhaços ficassem retidos. Este procedimento caracteriza o vidro como sendo do tipo
 

Provas

Questão presente nas seguintes provas
3672340 Ano: 2025
Disciplina: Engenharia Civil
Banca: FGV
Orgão: DPE-RO

A tabela a seguir mostra as vazões médias observadas por mês em determinada seção de um rio.

Mês

Vazão

(m3/s)

Mês

Vazão (m3/s)

Jan 1200 Jul 560
Fev 1000 Ago 630
Mar 870 Set 750
Abr 800 Out 950
Mai 710 Nov 1100
Jun 600 Dez 1150

Caso fosse construído um reservatório a montante desse rio com capacidade plena de regularização de vazões, a vazão média nessa seção de rio, em m3/s, seria igual a

 

Provas

Questão presente nas seguintes provas
3672339 Ano: 2025
Disciplina: Engenharia Civil
Banca: FGV
Orgão: DPE-RO
As fundações possuem como principal objetivo suportar as cargas de uma obra, transmitindo-as ao terreno.
O tipo de fundação que tem por objetivo distribuir cargas lineares é o/a
 

Provas

Questão presente nas seguintes provas
3672338 Ano: 2025
Disciplina: Engenharia Civil
Banca: FGV
Orgão: DPE-RO

A tabela a seguir mostra a distribuição granulométrica da amostra de solo em determinado terreno.

Faixa de diâmetro dos grãos

% na amostra

< 0,001 mm

5

entre 0,001mm e 0,005mm

25

entre 0,005mm e 0,05mm

55

entre 0,05mm e 0,1mm

10

Entre 0,1mm e 0,5mm

5

Este solo é composto predominantemente de

 

Provas

Questão presente nas seguintes provas
3672337 Ano: 2025
Disciplina: Engenharia Civil
Banca: FGV
Orgão: DPE-RO
Segundo a metodologia do SINAPI, o tipo de orçamento que tem como objetivo embasar decisões sobre pendências, bem como solucionar dúvidas a respeito dos gastos requeridos para a execução de um empreendimento, é denominado orçamento
 

Provas

Questão presente nas seguintes provas
3672336 Ano: 2025
Disciplina: Engenharia Civil
Banca: FGV
Orgão: DPE-RO

Um pavimento de uma estrada possui espessura total de 80cm, sendo a proporção de cada uma das camadas dadas de acordo com a tabela a seguir:

Camada Proporção
revestimento 12,5%
base 37,5%
sub-base 50,0%

O custo unitário dos materiais a serem utilizados para esse pavimento é mostrado a seguir.

Material Custo Unitário (R$/m3)
Brita R$ 150,00
Concreto asfáltico R$ 250,00
Pó de pedra R$ 100,00

Considerando que a largura do pavimento é de 12m, o custo de material por metro linear de estrada vale.

 

Provas

Questão presente nas seguintes provas
3672335 Ano: 2025
Disciplina: Engenharia Civil
Banca: FGV
Orgão: DPE-RO
O ciclo de vida de um projeto é composto por várias etapas. A etapa de comissionamento corresponde à(ao)
 

Provas

Questão presente nas seguintes provas
3672334 Ano: 2025
Disciplina: Direito Ambiental
Banca: FGV
Orgão: DPE-RO
De acordo com a Lei nº 12.305/2010, que instituiu a Política Nacional de Resíduos Sólidos, a elaboração de plano municipal de gestão integrada de resíduos sólidos é condição para os Municípios terem acesso a recursos da União, ou por ela controlados, destinados a empreendimentos e serviços relacionados à limpeza urbana e ao manejo de resíduos sólidos. De acordo com essa lei, no plano municipal de gestão integrada de resíduos sólidos, deve constar:
 

Provas

Questão presente nas seguintes provas