Foram encontradas 466 questões.
Provas
Provas
Provas
Provas
Provas
Texto para a questão
Pará tem 27 municípios integrados ao SNT
O Pará tem 27 municípios integrados ao Sistema Nacional de Trânsito (SNT). O mais recente município a aderir ao sistema foi Óbidos. Agora, a quantidade de municípios integrados representa 19% do total de municípios paraenses e o número de veículos integrados corresponde a 80% da frota de veículos registrada no estado.
A integração dos municípios ao SNT está prevista no 2.º parágrafo do artigo 24, além do 333, do Código de Trânsito Brasileiro, e sua regulamentação é disciplinada pela Resolução n.º 106/1999, do Conselho Nacional de Trânsito (CONTRAN).
Como o processo de municipalização acontece por intermédio da parceria entre os poderes, o DETRAN participa por meio do Programa de Educação e da Melhoria da Qualidade de Vida no Trânsito, com a atuação dos arte-educadores do Pacto Cidadão pela Vida no Trânsito, que se deslocam até os municípios conveniados com o DETRAN para a realização de oficinas com os novos agentes multiplicadores de educação no trânsito.
Internet:
Provas
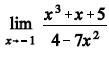
O valor do
é igual a
Provas
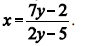
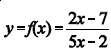
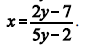
, é correto afirmar que a função
x = ƒ((y) é tal queProvas
Texto para a questão

Pequeno, redondo e de cor azul-noite, quase negro, o açaí pode ser considerado a pérola da Amazônia.
O açaizeiro nasce em touceiras, ou seja, da mesma raiz crescem vários pés. A alongada palmeira se eleva até os 30 m, possui folhas grandes de cor verde-escura ecada um dos cachos (são três ou quatro) produz de 3 kg a 6 kg de frutas.
Depois de debulhado, o açaí fresco é colocado em cestos de medida-padrão, chamados paneiro. Confeccionado com a palha da própria palmeira, cada um desses recipientes apresenta capacidade para 15 kg do tesouro amazônico. Uma vez cheios, os paneiros são transportados de barco até a praça do açaí, um espaço aberto que fica bem ao lado do Ver-o-Peso, o trepidante mercado de Belém. Dali, o açaí segue para as fábricas de processamento. Também abastece as barracas de comida e de polpas de frutas do Ver-o-Peso. Só em 2004, o Pará colheu 363.428 toneladas de açaí e consumiu mais da metade desse valor.
Internet:<www2.uol
Provas
Texto para a questão

Pequeno, redondo e de cor azul-noite, quase negro, o açaí pode ser considerado a pérola da Amazônia.
O açaizeiro nasce em touceiras, ou seja, da mesma raiz crescem vários pés. A alongada palmeira se eleva até os 30 m, possui folhas grandes de cor verde-escura ecada um dos cachos (são três ou quatro) produz de 3 kg a 6 kg de frutas.
Depois de debulhado, o açaí fresco é colocado em cestos de medida-padrão, chamados paneiro. Confeccionado com a palha da própria palmeira, cada um desses recipientes apresenta capacidade para 15 kg do tesouro amazônico. Uma vez cheios, os paneiros são transportados de barco até a praça do açaí, um espaço aberto que fica bem ao lado do Ver-o-Peso, o trepidante mercado de Belém. Dali, o açaí segue para as fábricas de processamento. Também abastece as barracas de comida e de polpas de frutas do Ver-o-Peso. Só em 2004, o Pará colheu 363.428 toneladas de açaí e consumiu mais da metade desse valor.
Internet:<www2.uol
Provas
Caderno Container