Foram encontradas 755 questões.
O projeto de uma instalação elétrica industrial em baixa tensão
precisou ser reavaliado porque o fator de potência da instalação
ficou com valor inferior à especificação, o que é prejudicial para
alguns equipamentos. Julgue o item a seguir acerca da alternativa
adotada para melhorar o fator de potência.
Caso o fator de potência em questão seja indutivo, uma alternativa para corrigi-lo na instalação é instalar, adequadamente, capacitores shunts.precisou ser reavaliado porque o fator de potência da instalação
ficou com valor inferior à especificação, o que é prejudicial para
alguns equipamentos. Julgue o item a seguir acerca da alternativa
adotada para melhorar o fator de potência.
Provas
Questão presente nas seguintes provas
Acerca das características de conjugado versus velocidade de
motores CC, julgue o item seguinte.
Suponha que dois motores CC, um com excitação em derivação e outro em série, com mesma potência, estejam operando em regime permanente e à velocidade nominal. Nessas condições, o motor que opera com excitação em derivação apresenta conjugado maior que o motor com excitação em série.motores CC, julgue o item seguinte.
Provas
Questão presente nas seguintes provas

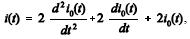
Suponha que o circuito elétrico mostrado na figura acima é ligado
a partir do instante
contenha energia armazenada antes desse instante.
Com base nessas informações, julgue os itens que se seguem.
Provas
Questão presente nas seguintes provas
Em um quadro de distribuição de determinada instalação elétrica
em baixa tensão foi recomendada a instalação de dispositivo
diferencial-residual (DR), tendo em vista a eficiência desse
elemento de proteção para a finalidade a que se destina. Acerca
desse assunto, julgue os itens subsequentes.
A corrente nominal de fuga de um dispositivo DR é igual à corrente do fusível com menor valor nominal na instalação.em baixa tensão foi recomendada a instalação de dispositivo
diferencial-residual (DR), tendo em vista a eficiência desse
elemento de proteção para a finalidade a que se destina. Acerca
desse assunto, julgue os itens subsequentes.
Provas
Questão presente nas seguintes provas

Suponha que o circuito elétrico mostrado na figura acima é ligado
a partir do instante
contenha energia armazenada antes desse instante.
Com base nessas informações, julgue os itens que se seguem.
Provas
Questão presente nas seguintes provas
Considerando-se a fiscalização e o acompanhamento da aplicação
de recursos na execução de projeto executivo de obra pública por
parte de empresa contratada, é exemplo de irregularidade o(a)
pagamento de serviços efetivamente não executados pela contratada, no início do cronograma previsto da obra.de recursos na execução de projeto executivo de obra pública por
parte de empresa contratada, é exemplo de irregularidade o(a)
Provas
Questão presente nas seguintes provas

Suponha que o circuito elétrico mostrado na figura acima é ligado
a partir do instante
contenha energia armazenada antes desse instante.
Com base nessas informações, julgue os itens que se seguem.
Provas
Questão presente nas seguintes provas
A respeito do orçamento de um projeto de engenharia, julgue o
item seguinte.
O orçamento pode ser expresso em diferentes unidades referenciais, sendo a monetária a unidade mais utilizada. A unidade homens-horas reais de trabalho, uma unidade nãomonetária, pode também ser usada no orçamento.item seguinte.
Provas
Questão presente nas seguintes provas

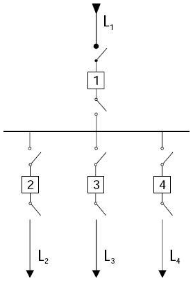
G. Kindermann. Proteção de sistemas elétricos. UFSC/Labplan/EEL, vol. 3, 1.ª ed., 2008, p. 153.
A figura acima ilustra o arranjo de subestação na forma de um
esquema em diagrama unifilar.
Acerca do tipo de arranjo apresentado e de manutenção na
subestação, julgue os itens a seguir.
Provas
Questão presente nas seguintes provas
Considere o campo elétrico existente na fronteira de uma região
formada por dois dielétricos distintos, lineares, homogêneos e
isotrópicos (meios 1 e 2), cujas permissividades relativas sejam
. A respeito desse assunto, julgue os itens a seguir.
Suponha que a componente normal do campo elétrico na fronteira 1 seja igual a 4 kV/m e que formada por dois dielétricos distintos, lineares, homogêneos e
isotrópicos (meios 1 e 2), cujas permissividades relativas sejam
. Nesse caso, a componente normal do campo elétrico no meio 2 é igual a 5 kV/m.Provas
Questão presente nas seguintes provas
Cadernos
Caderno Container