Foram encontradas 370 questões.
852546
Ano: 2014
Disciplina: TI - Desenvolvimento de Sistemas
Banca: VUNESP
Orgão: Desenvolve-SP
Disciplina: TI - Desenvolvimento de Sistemas
Banca: VUNESP
Orgão: Desenvolve-SP
Provas:
- Fundamentos de ProgramaçãoEstruturas de RepetiçãoEstrutura for
- Fundamentos de ProgramaçãoLógica de Programação
- Fundamentos de ProgramaçãoPseudocódigo
O programa a seguir, expresso na forma de Português Estruturado, deve ser utilizado para responder à questão. Assuma que os valores lidos para g1, g2 e g3 tenham sido, respectivamente: 2, 4 e 2.
Início
Inteiro: g1, g2, g3, g4, i;
Leia g1, g2, g3;
g4 ← 0;
Se ((g1+g2) ≤ (3*g3))
Então g3 ← g1 + g2
Senão g3 ← g2 - g1 + 2
Para (i de 2 até g3 faça)
[
g4 ← g4 + g3 - i;
]
Imprima g4;
Fim
Inteiro: g1, g2, g3, g4, i;
Leia g1, g2, g3;
g4 ← 0;
Se ((g1+g2) ≤ (3*g3))
Então g3 ← g1 + g2
Senão g3 ← g2 - g1 + 2
Para (i de 2 até g3 faça)
[
g4 ← g4 + g3 - i;
]
Imprima g4;
Fim
O número de iterações que o comando Para... irá executar no programa apresentado é igual a:
Provas
Questão presente nas seguintes provas
852545
Ano: 2014
Disciplina: TI - Desenvolvimento de Sistemas
Banca: VUNESP
Orgão: Desenvolve-SP
Disciplina: TI - Desenvolvimento de Sistemas
Banca: VUNESP
Orgão: Desenvolve-SP
Provas:
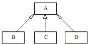
Considere o seguinte diagrama de classes da UML 2.0:

Com base nesse diagrama, é correto afirmar que

Com base nesse diagrama, é correto afirmar que
Provas
Questão presente nas seguintes provas
852544
Ano: 2014
Disciplina: TI - Desenvolvimento de Sistemas
Banca: VUNESP
Orgão: Desenvolve-SP
Disciplina: TI - Desenvolvimento de Sistemas
Banca: VUNESP
Orgão: Desenvolve-SP
Provas:
Considere o seguinte diagrama de mensagens (ou de sequência), representado por meio da UML 2.0:

Com base nesse diagrama, é correto afirmar que

Com base nesse diagrama, é correto afirmar que
Provas
Questão presente nas seguintes provas
Um dos shell padrão do sistema operacional Linux é o Bash que possui vários comandos adicionais que facilitam a interação do usuário com o Linux. Por exemplo, ao digitarmos o comando !! (dupla exclamação),
Provas
Questão presente nas seguintes provas
852542
Ano: 2014
Disciplina: TI - Desenvolvimento de Sistemas
Banca: VUNESP
Orgão: Desenvolve-SP
Disciplina: TI - Desenvolvimento de Sistemas
Banca: VUNESP
Orgão: Desenvolve-SP
Provas:
Na linguagem de programação Java, o operador representado pelo símbolo de porcentagem (%) tem a função de calcular
Provas
Questão presente nas seguintes provas
852541
Ano: 2014
Disciplina: TI - Desenvolvimento de Sistemas
Banca: VUNESP
Orgão: Desenvolve-SP
Disciplina: TI - Desenvolvimento de Sistemas
Banca: VUNESP
Orgão: Desenvolve-SP
Provas:
Considere o código Java a seguir para responder à questão.
public class Mostra {
public static void main(String[] args){
print("Quem ");
if (a() && b() && a()){
print("gato ");
} else {
print("cão ");
}
if (c() || d() || c()){
print("omelete.");
} else {
print("gato.");
}
}
public static boolean a(){
print("não ");
return true;
}
public static boolean b(){
print("tem ");
return false;
}
public static boolean c(){
print("faz ");
return true;
}
public static boolean d(){
print("caça com ");
return false;
}
public static void print(String s){
System.out.print(s);
}
public static void main(String[] args){
print("Quem ");
if (a() && b() && a()){
print("gato ");
} else {
print("cão ");
}
if (c() || d() || c()){
print("omelete.");
} else {
print("gato.");
}
}
public static boolean a(){
print("não ");
return true;
}
public static boolean b(){
print("tem ");
return false;
}
public static boolean c(){
print("faz ");
return true;
}
public static boolean d(){
print("caça com ");
return false;
}
public static void print(String s){
System.out.print(s);
}
}
Ao se executar esse código em um terminal, será produzida a mensagem:
Provas
Questão presente nas seguintes provas
852540
Ano: 2014
Disciplina: TI - Desenvolvimento de Sistemas
Banca: VUNESP
Orgão: Desenvolve-SP
Disciplina: TI - Desenvolvimento de Sistemas
Banca: VUNESP
Orgão: Desenvolve-SP
Provas:
- Fundamentos de ProgramaçãoAlgoritmosAnálise de Execução de Algoritmos
- Fundamentos de ProgramaçãoFunções, Métodos e Procedimentos
- Fundamentos de ProgramaçãoLógica de Programação
- LinguagensJava
Considere o código Java a seguir para responder à questão.
public class Mostra {
public static void main(String[] args){
print("Quem ");
if (a() && b() && a()){
print("gato ");
} else {
print("cão ");
}
if (c() || d() || c()){
print("omelete.");
} else {
print("gato.");
}
}
public static boolean a(){
print("não ");
return true;
}
public static boolean b(){
print("tem ");
return false;
}
public static boolean c(){
print("faz ");
return true;
}
public static boolean d(){
print("caça com ");
return false;
}
public static void print(String s){
System.out.print(s);
}
public static void main(String[] args){
print("Quem ");
if (a() && b() && a()){
print("gato ");
} else {
print("cão ");
}
if (c() || d() || c()){
print("omelete.");
} else {
print("gato.");
}
}
public static boolean a(){
print("não ");
return true;
}
public static boolean b(){
print("tem ");
return false;
}
public static boolean c(){
print("faz ");
return true;
}
public static boolean d(){
print("caça com ");
return false;
}
public static void print(String s){
System.out.print(s);
}
}
Suponha que o método “print” seja alterado para:
public static void print(String s){
System.out.print(s);
if (s.length() % 2 != 0){
System.exit(1);
}
}
System.out.print(s);
if (s.length() % 2 != 0){
System.exit(1);
}
}
Como efeito dessa alteração,
Provas
Questão presente nas seguintes provas
852539
Ano: 2014
Disciplina: TI - Organização e Arquitetura dos Computadores
Banca: VUNESP
Orgão: Desenvolve-SP
Disciplina: TI - Organização e Arquitetura dos Computadores
Banca: VUNESP
Orgão: Desenvolve-SP
Provas:
Em um computador, os caminhos por onde, de forma geral, trafegam informações entre os seus diversos componentes são conhecidos como
Provas
Questão presente nas seguintes provas
Um Datacenter típico possibilita que diversos serviços sejam disponibilizados. O serviço no qual o cliente contrata o espaço físico dos racks e a infraestrutura de operação (telecomunicação e energia), para instalar os seus servidores, os sistemas computacionais, e efetuar ele próprio o gerenciamento, monitoramento e suporte técnico, é denominado
Provas
Questão presente nas seguintes provas
852537
Ano: 2014
Disciplina: TI - Organização e Arquitetura dos Computadores
Banca: VUNESP
Orgão: Desenvolve-SP
Disciplina: TI - Organização e Arquitetura dos Computadores
Banca: VUNESP
Orgão: Desenvolve-SP
Provas:
Computadores modernos utilizam a aritmética binária para executar suas instruções elementares. Suponha que o resultado de uma operação realizada pelo processador de uma determinada máquina tenha sido, em 16 bits, o seguinte, na notação binária:
01011010 10000111 b
Esse número binário, na notação hexadecimal, é:
01011010 10000111 b
Esse número binário, na notação hexadecimal, é:
Provas
Questão presente nas seguintes provas
Cadernos
Caderno Container