Foram encontradas 70 questões.
Considere a seguinte instrução, presente em um microprocessador hipotético.
MOV R2, 34h Essa instrução move o valor 34h (em hexadecimal) para o registrador R2. O carregamento do valor 34h representa uma forma de endereçamentoProvas
Grande parte dos microprocessadores ou microcontroladores possuem um registrador no qual é armazenada a maioria dos resultados decorrentes de alguma operação lógica ou aritmética. Esse registrador é conhecido como
Provas
O ganho de potência (G) de uma antena é calculado de acordo com a seguinte expressão (sendo Pm a intensidade de radiação máxima da antena sob consideração e P0 a intensidade de radiação máxima de uma antena de referência com a mesma potência de entrada considerada):
Provas
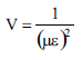
A velocidade de fase de uma onda eletromagnética é dada pela seguinte expressão (sendo μ a permeabilidade e ε a permissividade do meio):
Provas
Quando um circuito lógico composto por portas da família CMOS está em funcionamento estático, ou seja, não está oscilando,
Provas
O número de entradas padrão TTL que uma saída TTL padrão pode alimentar, tipicamente, é:
Provas

Provas
O tempo de acesso a uma posição de memória do tipo RAM
Provas

Provas
Considere um demultiplexador cujas entradas de seleção são A0, A1 e A2, e cujas saídas são O1, O2, … e O7, sendo A0 a entrada de seleção menos significativa, e O0 a saída menos significativa. Supondo I o dado de entrada, assinale a alternativa que apresenta uma combinação coerente de valor de entrada de seleção (em binário) / saída ou saídas ativadas, para qualquer valor de I (0 ou 1).
Provas
Caderno Container