Foram encontradas 1.578 questões.

Julgue o item a seguir, relativo ao circuito elétrico presente na figura acima.
O circuito apresentado é subamortecido.
Provas

Julgue o item a seguir, relativo ao circuito elétrico presente na figura acima.
A frequência de ressonância do circuito é !$ \sqrt{10} !$ rad/s.
Provas

Julgue o item a seguir, relativo ao circuito elétrico presente na figura acima.
O circuito pode ser representado por uma equação diferencial de terceira ordem.
Provas
Um aparelho de ar-condicionado é alimentado por um circuito com condutores de bitola igual a 2,5 mm2 e protegido no quadro por um disjuntor de 16 A, curva B. O sistema apresenta falhas na abertura não programada do disjuntor, sem que seja verificado qualquer curto-circuito. O circuito é considerado longo, já que o aparelho encontra-se a uma distância considerável do quadro de distribuição do pavimento.
Com base na situação hipotética descrita e na tabela seguinte, julgue o item a seguir.
|
capacidade de condução de corrente |
|
|
seções nominais (mm2) |
corrente (A) |
|
1,5 |
14,5 |
|
2,5 |
19,5 |
|
4,0 |
26,0 |
Caso o acionamento do disjuntor seja devido à corrente de partida do aparelho de ar-condicionado, a troca do disjuntor por um de curva C, mantendo o mesmo dimensionamento de 16 A, pode solucionar o problema.
Provas
Um aparelho de ar-condicionado é alimentado por um circuito com condutores de bitola igual a 2,5 mm2 e protegido no quadro por um disjuntor de 16 A, curva B. O sistema apresenta falhas na abertura não programada do disjuntor, sem que seja verificado qualquer curto-circuito. O circuito é considerado longo, já que o aparelho encontra-se a uma distância considerável do quadro de distribuição do pavimento.
Com base na situação hipotética descrita e na tabela seguinte, julgue o item a seguir.
|
capacidade de condução de corrente |
|
|
seções nominais (mm2) |
corrente (A) |
|
1,5 |
14,5 |
|
2,5 |
19,5 |
|
4,0 |
26,0 |
Para aumentar a eficiência dos gastos nas instalações elétricas, o circuito do ar-condicionado pode ser compartilhado com o circuito de iluminação, desde que esteja na mesma sala onde está localizado o aparelho.
Provas
Um aparelho de ar-condicionado é alimentado por um circuito com condutores de bitola igual a 2,5 mm2 e protegido no quadro por um disjuntor de 16 A, curva B. O sistema apresenta falhas na abertura não programada do disjuntor, sem que seja verificado qualquer curto-circuito. O circuito é considerado longo, já que o aparelho encontra-se a uma distância considerável do quadro de distribuição do pavimento.
Com base na situação hipotética descrita e na tabela seguinte, julgue o item a seguir.
|
capacidade de condução de corrente |
|
|
seções nominais (mm2) |
corrente (A) |
|
1,5 |
14,5 |
|
2,5 |
19,5 |
|
4,0 |
26,0 |
Uma possibilidade de solução do problema é a substituição do disjuntor de 16 A por um de 25 A.
Provas
Um aparelho de ar-condicionado é alimentado por um circuito com condutores de bitola igual a 2,5 mm2 e protegido no quadro por um disjuntor de 16 A, curva B. O sistema apresenta falhas na abertura não programada do disjuntor, sem que seja verificado qualquer curto-circuito. O circuito é considerado longo, já que o aparelho encontra-se a uma distância considerável do quadro de distribuição do pavimento.
Com base na situação hipotética descrita e na tabela seguinte, julgue o item a seguir.
|
capacidade de condução de corrente |
|
|
seções nominais (mm2) |
corrente (A) |
|
1,5 |
14,5 |
|
2,5 |
19,5 |
|
4,0 |
26,0 |
Como o circuito que alimenta o ar-condicionado é longo, a fim de diminuir a queda de tensão, a bitola da fiação deve ser aumentada.
Provas
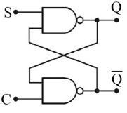
Julgue o item a seguir, relativo à eletrônica digital.
Se, no circuito apresentado na figura a seguir, ambas as entradas S e C forem iguais a 0, a saída Q será igual a 0.

Provas
Julgue o item a seguir, relativo à eletrônica digital.
Um circuito subtrator paralelo de quatro bits utiliza quatro circuitos meio-subtratores.
Provas
Disciplina: Segurança e Saúde no Trabalho (SST)
Banca: CESPE / CEBRASPE
Orgão: DATAPREV
Com base nas legislações de segurança e medicina do trabalho e previdenciária, julgue o seguinte item.
É equiparado a acidente de trabalho ato de agressão, sabotagem ou terrorismo praticado, no local e no horário do trabalho, por terceiro ou companheiro de trabalho.
Provas
Caderno Container