Foram encontradas 120 questões.
Para responder às questões de números 34 a 40, considere a tabela anexada abaixo.
.
O gerente de determinada empresa terá que decidir, por meio do método do custo anual, qual a alternativa mais vantajosa com relação à compra de um motor:

A taxa mínima de atratividade é de 10% ao ano (capitalização anual) e o período de serviço para uma das alternativas é de 10 anos. O gerente conclui que
Provas
Para responder às questões de números 34 a 40, considere a tabela anexada abaixo.
.
O esquema abaixo representa o fluxo de caixa de um investimento no período de 3 anos, valores em reais:

Sabendo-se que a taxa interna de retorno (TIR) é de 10% ao ano, o valor do desembolso inicial (D) é de
Provas
- Análise de InvestimentosTIR: Taxa Interna de Retorno
- Análise de InvestimentosTMA: Taxa Mínima de Atratividade
- Análise de InvestimentosVPL: Valor Presente Líquido
Para responder às questões de números 34 a 40, considere a tabela anexada abaixo.
.
A empresa "Y" realiza certo investimento em projeto que apresenta o fluxo de caixa a seguir:

Se a taxa mínima de atratividade for de 25% ao ano (capitalização anual), o valor presente líquido deste investimento no ano 0 será de
Provas
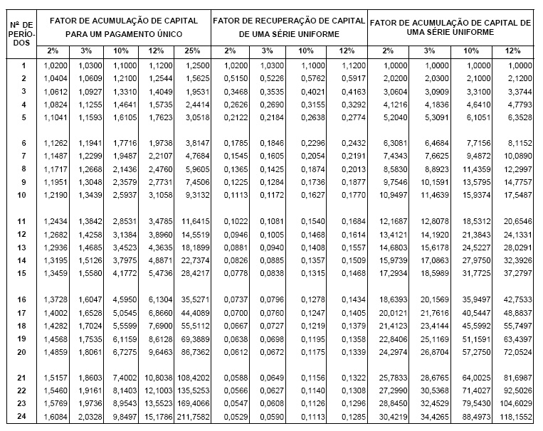
Para responder às questões de números 34 a 40, considere a tabela abaixo.

Depositando R$ 20.000,00 no início de cada ano, durante 10 anos, à taxa de juros compostos de 10% ao ano, obtém-se, na data do último depósito, um montante igual ao gerado por uma aplicação de valor único feita no início do primeiro ano à taxa de juros compostos de 25% ao ano, durante doze meses. Desprezando-se os centavos, o valor da aplicação de valor único é de
Provas
Para responder às questões de números 34 a 40, considere a tabela abaixo.

Certa pessoa investiu R$ 3.000,00 em um banco à taxa nominal de juros de 36% ao ano, capitalizados mensalmente, e R$ 7.000,00 à 24% ao ano, capitalizados semestralmente. Ao final de 2 anos, a soma dos dois montantes será
Provas
A inflação acumulada no primeiro semestre de determinado ano foi de 20%. Uma pessoa aplicou R$ 12.000,00 no início deste período e resgatou R$ 18.000,00 no final. A taxa real de retorno no período de aplicação foi de
Provas
Descontando-se um título de valor nominal de R$ 10.500,00 dois meses antes de seu vencimento, à taxa de desconto de 3% ao mês e de acordo com o critério do desconto comercial composto, o valor do desconto na operação é de
Provas
Determinado título é descontado 6 meses antes de seu vencimento à taxa de desconto comercial simples de 6% ao mês. A taxa efetiva semestral correspondente a esta operação é de
Provas
Determinado capital foi aplicado a prazo fixo durante um período à taxa de juros simples de 30% ao ano. Decorrido o prazo, o montante no valor total de R$ 23.400,00 foi aplicado por mais um período igual ao da aplicação inicial, à taxa de juros simples de 36% ao ano. Sendo o montante final de R$ 26.910,00, o capital da primeira aplicação corresponde a
Provas
Em determinada data, uma pessoa aplica R$ 10.000,00 à taxa de juros simples de 2% ao mês. Decorridos 2 meses, outra pessoa aplica R$ 8.000,00 à taxa de juros simples de 4% ao mês. No momento em que o montante referente ao valor aplicado pela primeira pessoa for igual ao montante referente ao valor aplicado pela segunda pessoa, o total dos juros correspondente à aplicação da primeira pessoa será de
Provas
Caderno Container