Magna Concursos

Foram encontradas 40 questões.

95754 Ano: 2006
Disciplina: Raciocínio Lógico
Banca: FJPF
Orgão: CRMV-RJ

Abílio é mais novo que Gumercindo, que é mais velho do que Lico. Lico é mais velho que Juvenal, que é mais novo do que Nestor, que é mais velho do que Lico. Abílio é mais velho do que Nestor. A ordem decrescente das idades dos cinco é então:

 

Provas

Questão presente nas seguintes provas
95753 Ano: 2006
Disciplina: Raciocínio Lógico
Banca: FJPF
Orgão: CRMV-RJ

Se todos os moradores de uma vila que trabalham vão para o trabalho de ônibus ou a pé então:

 

Provas

Questão presente nas seguintes provas
95752 Ano: 2006
Disciplina: Raciocínio Lógico
Banca: FJPF
Orgão: CRMV-RJ

Observe a seqüência:

1A 3B 5C 7D O próximo termo é:
 

Provas

Questão presente nas seguintes provas
95751 Ano: 2006
Disciplina: Raciocínio Lógico
Banca: FJPF
Orgão: CRMV-RJ

AMORA está para AROMA assim como 15761 está para:

 

Provas

Questão presente nas seguintes provas
95743 Ano: 2006
Disciplina: Matemática
Banca: FJPF
Orgão: CRMV-RJ

Se

Enunciado 3289889-1

Então o valor de Enunciado 3289889-2 é igual a:
 

Provas

Questão presente nas seguintes provas
95742 Ano: 2006
Disciplina: Matemática
Banca: FJPF
Orgão: CRMV-RJ

As idades de Coutinho e Dorval são, ambas, números primos e a soma de suas idades é igual a 60.

Assinale o item que indica um valor possível para a diferença de idades entre ambos:

 

Provas

Questão presente nas seguintes provas
95741 Ano: 2006
Disciplina: Matemática
Banca: FJPF
Orgão: CRMV-RJ

Comi Enunciado 3289880-1 de uma pizza; mais tarde, comi Enunciado 3289880-2 do que restou. Ainda resta a seguinte fração da pizza:

 

Provas

Questão presente nas seguintes provas
95740 Ano: 2006
Disciplina: Matemática
Banca: FJPF
Orgão: CRMV-RJ

Observe as frações:

Enunciado 3289879-1

A maior é:
 

Provas

Questão presente nas seguintes provas
95739 Ano: 2006
Disciplina: Matemática
Banca: FJPF
Orgão: CRMV-RJ

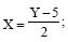
A professora pediu que Joca pensasse em um número X, multiplicasse-o por 2 e somasse 5 ao resultado, obtendo então um resultado Y, que Joca deveria informar aos colegas.

Conhecendo o valor de Y, a turma poderia então descobrir o número X, pensado por Joca, fazendo a seguinte conta:

 

Provas

Questão presente nas seguintes provas
95738 Ano: 2006
Disciplina: Matemática
Banca: FJPF
Orgão: CRMV-RJ

Dois carros saíram, em direções opostas, de um mesmo ponto de uma estrada reta. Depois de percorrer 23km, cada um deles fez a volta completa (180º) e percorreu 26km, retornando pela mesma estrada.

A distância final entre ambos, em km, é de:

 

Provas

Questão presente nas seguintes provas