Foram encontradas 191 questões.
Observe a sequência abaixo.
-3, -1 , 1, 3, ...
O 30º termo é:
Provas
P: “Maria não foi ao teatro” e V: “Paulo foi ao futebol”
é:
Provas
Provas
- Se João é físico, então Carlos é matemático. - Se Carlos não é matemático, então José não é químico. - José é químico.
Pode-se afirmar que:
Provas
Observe a sequência abaixo
5,3,1,-1,...
Marque a alternativa que apresenta o valor do 50° termo.
Provas
Provas
Em uma pesquisa feita com 240 funcionários de uma fábrica, verificou-se o seguinte:
• têm casa alugada: 76
• têm curso médio: 84
• têm plano de saúde: 140
• têm casa alugada e plano de saúde: 68
• têm casa alugada e curso médio: 34
• têm curso médio e plano de saúde: 48
• têm casa alugada, plano de saúde e curso médio: 30
Qual a quantidade de funcionários que não se enquadram em nenhuma das situações anteriores?
Provas
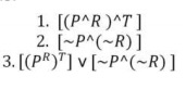
Se P e R forem verdades e T for falso, marque o valores lógicos das expressões abaixo, na ordem que foram apresentadas:

Provas
Em uma pesquisa feita com 200 usuários de uma pasta de dente, verificou-se o seguinte:
• 76 usam a pasta de dente A
• 86 usam a pasta de dente B
• 140 usam a pasta de dente C
• 68 usam a pasta de dente A e B
• 34 usam a pasta de dente A e C
• 48 usam a pasta de dente B e C
• 30 usam a pasta de dente A, B e C
Provas
Marque a alternativa que apresenta a soma dos 10 primeiros termos da sequência abaixo.
1, 1, 2, 3, 5, 8, ...
Provas
Caderno Container