Foram encontradas 39 questões.
Dois amigos decidiram abrir uma empresa. O primeiro aplicou R$ 2.000,00 e o segundo aplicou R$ 3.000,00. Após três meses, os amigos obtiveram um lucro de R$ 2.500,00. Como o lucro deve ser repartido de forma proporcional à quantia que cada um investiu, pode-se concluir que o primeiro recebeu:
Provas
Questão presente nas seguintes provas
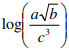
Se log α = 2, log b = 3 e log c = ½, então
é igual a:
é igual a: Provas
Questão presente nas seguintes provas
Após um ano aplicando um capital inicial, no sistema de juros compostos, à taxa de 18% ao ano, cheguei a um montante de R$ 23.600,00. Qual foi o capital investido?
Provas
Questão presente nas seguintes provas
Uma menina possui 5 blusas, 3 saias e 2 sandálias. De quantas maneiras diferentes ela pode se vestir?
Provas
Questão presente nas seguintes provas
Uma empresa produziu 60.000 peças de um determinado produto ao longo de 4 anos. Quantas peças a empresa produziu no primeiro ano, sabendo- se que a produção dobra a cada ano?
Provas
Questão presente nas seguintes provas
A trajetória de uma bola, em um chute a gol, pode ser descrita por uma função quadrática. Supondo que sua altura h, em metros, t segundos após o chute, seja dada por h = - t² + 4t, temos que a altura máxima atingida pela bola é:
Provas
Questão presente nas seguintes provas
Rodrigo tinha uma certa quantia em dinheiro. Gastou 20% na compra de uma camiseta e 5%, do que sobrou, gastou na compra de um lanche, ficando com um total de R$ 228,00. Qual foi o preço da camiseta?
Provas
Questão presente nas seguintes provas
Para medir a altura de um prédio, um engenheiro usou o seguinte artifício: mediu a sombra do prédio, obtendo 8m, e no mesmo instante, mediu sua própria sombra, obtendo 0,4m. Sabendo que a altura do engenheiro é 1,8m, qual é a altura do prédio?
Provas
Questão presente nas seguintes provas
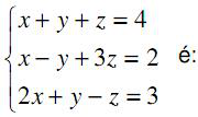
A solução do sistema linear


Provas
Questão presente nas seguintes provas
Paguei por uma geladeira, com desconto de 8%, um total de R$ 1.840,00. Qual era o preço da geladeira sem o desconto?
Provas
Questão presente nas seguintes provas
Cadernos
Caderno Container