Foram encontradas 50 questões.
No modelo entidade-relacionamento, a propriedade de um
relacionamento que demonstra quantas ocorrências de uma
entidade podem estar associadas a uma determinada
ocorrência por meio do relacionamento é chamada de
Provas
Questão presente nas seguintes provas

Provas
Questão presente nas seguintes provas


O código SQL (Structured Query Language) acima tem a finalidade de
Provas
Questão presente nas seguintes provas
- Gestão de ServiçosITILITIL v4Gestão de Incidentes (ITILv4)
- Gestão de ServiçosITILITIL v4Gestão de Problemas (ITILv4)
De acordo com a ITIL, os objetivos do ciclo operação de
serviço são manter a satisfação e a confiança nos serviços de
tecnologia da informação (TI) por parte dos usuários e
minimizar o impacto nas atividades de negócio diárias por
meio da coordenação de atividades requeridas para entregar
serviços de TI nos níveis acordados com os clientes e usuários.
Nesse ciclo, a aplicação imediata de soluções de contorno
para resolver um determinado incidente, deixando o registro
de problema aberto até que a solução definitiva seja
encontrada, é uma atividade do processo
Provas
Questão presente nas seguintes provas
Acerca da Linguagem de Modelagem Unificada (UML),
assinale a alternativa correta.
Provas
Questão presente nas seguintes provas
- Engenharia de SoftwareCiclo de Vida de Software
- Engenharia de SoftwareEngenharia de Requisitos
- Engenharia de SoftwareGerenciamento de Projetos de Software
Com relação ao pessoal envolvido em um projeto de
sistemas, assinale a alternativa correta.
Provas
Questão presente nas seguintes provas

O diagrama utilizado na análise orientada a objetos representado na figura acima consiste no diagrama de
Provas
Questão presente nas seguintes provas
Assinale a alternativa correta a respeito da linguagem de
programação Python.
Provas
Questão presente nas seguintes provas
- Paradigmas de ProgramaçãoOrientação a ObjetosAnálise e Projeto Orientado a Objetos
- Paradigmas de ProgramaçãoOrientação a ObjetosOrientação a Objetos: Herança
Na orientação a objetos, o recurso que visa organizar em
classes, denominadas de superclasses, todos os atributos e
métodos comuns a vários tipos de objetos é o(a)
Provas
Questão presente nas seguintes provas

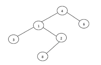
Com base na figura acima, que representa uma árvore binária, assinale a alternativa correta.
Provas
Questão presente nas seguintes provas
Cadernos
Caderno Container