Foram encontradas 180 questões.
Provas
Uma peça cúbica maciça de madeira, de aresta 3m, é totalmente vazada, de uma face a face oposta, extraindo-se dela um prisma quadrangular regular. Sabe-se que uma das arestas desse prisma retirado mede 1m.

A área total do sólido resultante, em metros quadrados, é igual a
Provas
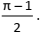
O gráfico representa a função f (x) = cos x no intervalo
. A reta s é paralela ao eixo das abscissas e a reta r
é tangente ao gráfico da função f em x = π/2 .

A área sombreada é igual a
Provas
Na matriz
, cada elemento aij está definido da seguinte forma:
, onde ƒ e g são funções
reais bijetoras. Assim, f(g(2)) e g-1 (3) são, respectivamente, iguais a
Provas
Provas
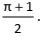
A figura representa o ciclo trigonométrico (círculo de raio unitário) e suas linhas trigonométricas, sendo α um ângulo medido em radianos.

A área da região sombreada é igual a
Provas
Considere a expressão
5 log5 (sen300° . tg1° . tg2° . tg3° . ... . tg88° . tg89° . cos120° )
Qual é o seu valor?
Provas
Dados os vetores
, considere as afirmativas.
I. A área do paralelogramo definido pelos vetores
é igual a 5.
II. O volume do paralelepípedo definido pelos vetores
é igual a 13√3.
III. O vetor
é ortogonal ao plano definido pelos vetores
.
Pode-se concluir que
Provas
Provas
Provas
Caderno Container