Magna Concursos

Foram encontradas 419 questões.

2967683 Ano: 2022
Disciplina: TI - Desenvolvimento de Sistemas
Banca: Col. Pedro II
Orgão: Col. Pedro II
Provas:

A palavra-chave list atribui elementos de uma matriz a uma lista de variáveis.

Dado o exemplo de código a seguir:

<!DOCTYPE html>
<html>
<body>
<?php
list(2 => $a, 0 => $b, 1 => $c) = [1, 2, 3, 4];
echo $a . '-'.$b .'- '. $c . "<br>";
?>
</body>
</html>

O que será impresso na tela é

 

Provas

Questão presente nas seguintes provas
2967682 Ano: 2022
Disciplina: TI - Desenvolvimento de Sistemas
Banca: Col. Pedro II
Orgão: Col. Pedro II
Provas:

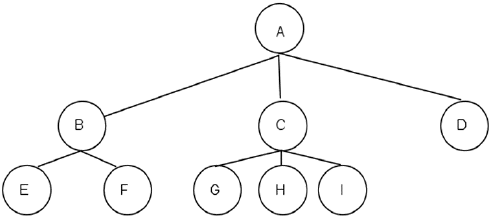
Uma árvore é um tipo abstrato de dados que armazena elementos de maneira hierárquica. Com exceção do elemento do topo, cada elemento tem um elemento pai e zero ou mais elementos filhos. Uma árvore normalmente é desenhada colocando-se os elementos dentro de elipses ou retângulos e conectando pais e filhos com linhas retas. Normalmente o elemento topo é chamado de raiz da árvore, mas é desenhado como o elemento mais alto, com todos os demais conectados abaixo (exatamente ao contrário de uma árvore real).

O percurso de uma árvore é a maneira ordenada de percorrer todos os seus nós, sem repetir nenhum e sem deixar de passar por nenhum. É utilizado, por exemplo, para consultar ou alterar as informações contidas nos nós. Porém, em algumas outras aplicações, queremos visitar os nós em certa ordem desejada.

Dada a árvore a seguir:

Enunciado 3312668-1

Assinale a alternativa que indica o nome do percurso utilizado e a ordem dos nós percorridos.

 

Provas

Questão presente nas seguintes provas
2967681 Ano: 2022
Disciplina: TI - Desenvolvimento de Sistemas
Banca: Col. Pedro II
Orgão: Col. Pedro II
Provas:

Dada a função para encontrar um nome em uma listbox:

function TFMain.Busca_Bin(n : longint; nome : ): longint;
var
l,r,k : longint;
meio : ;
achou : ;
begin
l := 0;
r := n-1;
achou := false;
while(l<=r) and (not achou) do
begin
meio := (l+r)/2;
k:=Trunc(meio);
if( nome=listbox11.items[k] ) then
achou := not achou
else
if( x<listbox11.items[k] ) then
r := k-1
else
l := k+1;
end;
if( achou ) then
Busca_Bin:=k
else
Busca_Bin:= -1;
end;

Os tipos de variáveis que deverão ser usados para as variáveis identificadas como nome, meio e achou são, respectivamente,

 

Provas

Questão presente nas seguintes provas
2967680 Ano: 2022
Disciplina: TI - Desenvolvimento de Sistemas
Banca: Col. Pedro II
Orgão: Col. Pedro II
Provas:

É dado a seguir um exemplo prático de como declarar propriedades e métodos usando os modificadores de acesso presentes na linguagem PHP:

<?php

class A {

protected $a = 'a';

private $b = 'b';

public $c = 'c';

function m_a() {

echo 'm_a';

}

}

class B extends A {

public function m_b() {

// Quais atributos e métodos da classe A são acessíveis neste escopo?

}

}

?>

Considerando os membros da classe A ($a, $b, $c e m_a()), e de acordo com as regras de visibilidade, os membros que são acessíveis no método m_b(). são

 

Provas

Questão presente nas seguintes provas
2967679 Ano: 2022
Disciplina: TI - Desenvolvimento de Sistemas
Banca: Col. Pedro II
Orgão: Col. Pedro II
Provas:

O código Python 3.7.13 a seguir implementa um algoritmo de ordenação conhecido como Bubble Sort. Observe as funções implementadas:

def troca(elementos, p1, p2):

elementos[p1], elementos[p2] = elementos[p2], elementos[p1]

def bubble_sort(elementos):

for n in range(len(elementos)-1, 0, -1):

for i in range(n):

if elementos[i] > elementos[i + 1]:

troca(elementos, i, i + 1)

Considerando como entrada uma lista de N números inteiros, o maior número possível de chamadas à função troca(elementos, p1, p2) para ordenar essa lista é

 

Provas

Questão presente nas seguintes provas
2967678 Ano: 2022
Disciplina: TI - Desenvolvimento de Sistemas
Banca: Col. Pedro II
Orgão: Col. Pedro II
Provas:

Dado um código em Python, que pede 5 nomes de candidatos e, após a entrada dos nomes, escreve na tela um desses nomes a partir de um sorteio:

1
2
3
4
5
6

random
sorteio=random.
a=
for
a.append(input('Nome dos candidatos: '))
(sorteio(a))

Os comandos ou métodos ou operadores que completam as linhas 1, 2, 3, 4 e 6 (tendo em vista que os hifens foram utilizados para separarem os comandos) são:

 

Provas

Questão presente nas seguintes provas
2967677 Ano: 2022
Disciplina: TI - Desenvolvimento de Sistemas
Banca: Col. Pedro II
Orgão: Col. Pedro II
Provas:

Considere duas estruturas de dados vazias:

uma fila f (política FIFO) contemplando operações de:

o enfileirar ENQUEUE(x), que insere um elemento x na fila;

o desenfileirar DEQUEUE(), que retorna um elemento e o remove da fila;

uma pilha p (política LIFO) contemplando operações de:

o empilhar PUSH(x), que insere um elemento x na pilha;

o desempilhar POP(), que retorna um elemento e o remove da pilha.

É dada esta sequência de operações:

f.ENQUEUE (2)

f.ENQUEUE (3)

f.ENQUEUE (5)

p.PUSH(4)

p.PUSH(6)

f.ENQUEUE (p.POP())

f.DEQUEUE ()

f.DEQUEUE ()

f.ENQUEUE (p.POP())

f.DEQUEUE ()

f DEQUEUE ()

O estado final da fila f contém o elemento

 

Provas

Questão presente nas seguintes provas
2967676 Ano: 2022
Disciplina: TI - Desenvolvimento de Sistemas
Banca: Col. Pedro II
Orgão: Col. Pedro II
Provas:

Observe o diagrama UML a seguir e o código Python associado:

Enunciado 3312662-1

O Design Pattern empregado é

 

Provas

Questão presente nas seguintes provas
2967675 Ano: 2022
Disciplina: Medicina
Banca: Col. Pedro II
Orgão: Col. Pedro II
Provas:

Imagens visualizadas voluntariamente a partir de estímulos imprecisos do ambiente, como olhar uma nuvem e ver nela um animal, é uma forma de percepção chamada de , que indicam .

Assinale a alternativa que apresenta os termos que preenchem, respectivamente e de forma correta, as lacunas.

 

Provas

Questão presente nas seguintes provas
2967674 Ano: 2022
Disciplina: Medicina
Banca: Col. Pedro II
Orgão: Col. Pedro II
Provas:

Paciente percebe distorcidamente, como horríveis e dignos de enorme vergonha, partes do seu corpo ou pequenos defeitos físicos que passariam despercebidos na maioria das pessoas, levando muitas vezes à realização de diversas cirurgias e hábitos intensos de dietas e exercícios. O paciente tem como diagnóstico

 

Provas

Questão presente nas seguintes provas