Foram encontradas 175 questões.
Com Licença Poética
Adélia Prado
Quando nasci um anjo esbelto,
desses que tocam trombeta, anunciou:
vai carregar bandeira
Cargo muito pesado pra mulher,
esta espécie ainda envergonhada.
Aceito os subterfúgios que me cabem,
sem precisar mentir.
Não sou tão feia que não possa casar,
acho o Rio de Janeiro uma beleza e
ora sim, ora não, creio em parto sem dor.
Mas o que sinto escrevo. Cumpro a sina.
Inauguro linhagens, fundo reinos
- dor não é amargura.
Minha tristeza não tem pedigree,
já a minha vontade de alegria,
sua raiz vai ao meu mil avô.
Vai ser coxo na vida é maldição pra homem.
Mulher é desdobrável. Eu sou.
PRADO, Adélia. Reunião de poesia. 3ª ed. Rio de Janeiro: BestBolso, 2014. p. 19.
Compare os versos iniciais de “Com licença poética” com a primeira estrofe do “Poema de Sete Faces”, de Carlos Drummond de Andrade.

Sobre a imagem de anjo construída nos dois poemas, é correto afirmar que
Provas
Leia o trecho a seguir da Carta Aberta à Feira Literária Internacional de Paraty – 2016, escrita por Giovana Xavier, feminista negra e professora da Faculdade de Educação da UFRJ.
"Este silenciamento do nosso existir em uma feira que se reivindica cosmopolita, mas está mais para Arraiá da Branquidade, insere-se no passado-presente de escravidão, no qual a Mulher Negra é representada, vista e tratada como um corpo a ser dissecado.”
(Disponível em: https://conversadehistoriadoras.com/2016/06/27/carta-aberta-a-feira-literaria-internacional-de-parati-cade-asnossas-escritoras-negras-na-flip-2016/. Acesso em 20/06/2016.)
Sem alterar o sentido do trecho da carta, a expressão “no qual” pode ser substituída por
Provas
Com Licença Poética
Adélia Prado
Quando nasci um anjo esbelto,
desses que tocam trombeta, anunciou:
vai carregar bandeira
Cargo muito pesado pra mulher,
esta espécie ainda envergonhada.
Aceito os subterfúgios que me cabem,
sem precisar mentir.
Não sou tão feia que não possa casar,
acho o Rio de Janeiro uma beleza e
ora sim, ora não, creio em parto sem dor.
Mas o que sinto escrevo. Cumpro a sina.
Inauguro linhagens, fundo reinos
- dor não é amargura.
Minha tristeza não tem pedigree,
já a minha vontade de alegria,
sua raiz vai ao meu mil avô.
Vai ser coxo na vida é maldição pra homem.
Mulher é desdobrável. Eu sou.
PRADO, Adélia. Reunião de poesia. 3ª ed. Rio de Janeiro: BestBolso, 2014. p. 19.
Provas
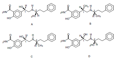
A existência de enzimas e receptores estereoespecíficos no organismo conduz às características biológicas diferentes para as estruturas quirais.
O agente anti-hipertensivo labetalol é comercializado em iguais proporções de quatro estereoisômeros. Este fármaco é considerado um "pseudo-híbrido", porque múltiplas formas isoméricas estão envolvidas na atividade biológica.

Fonte: LIMA, Vera Lúcia E. Os Fármacos e a Quiralidade: uma Breve Abordagem. Química Nova (1997) vol.20 (6): 657-663. Disponível em http://quimicanova.sbq.org.br/default.asp?ed=123. Acesso em 18.jul.2016
Para dar nome aos estereoisômeros um sistema de nomenclatura foi concebido por R. S. Cahan, Sir
Christopher Ingold e por Vlado Prelog e foi adotado pela IUPAC. Esta convenção é chamada de sistema
Cahan-Ingold-Prelog ou convenção R,S.
Provas
- FundamentosPropriedades das Substâncias
- Química CinéticaTransformações Químicas
- Química InorgânicaGeometria Molecular, Polaridade e Forças Intermoleculares
O complexo [M(NH3)6] +3 contém um total de 126 elétrons.
Indique a opção que aponta o número atômico de M e a geometria espacial do composto de coordenação em questão.
Provas
Caderno Container