Foram encontradas 30 questões.
Uma professora de Matemática do Colégio Militar de Belém gosta de estimular o raciocínio lógico e cálculo mental de seus alunos e, para isso, utiliza o recurso "Desafio minuto". Quando o aluno acerta a resposta do desafio, ganha uma estrelinha e um chocolate.

A idade da professora é
Provas
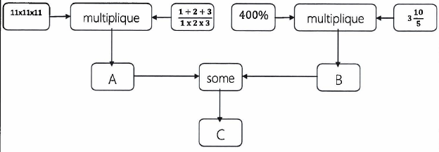
O aluno Brasil adora Matemática e montou o seguinte esquema de operações:

Nesse esquema montado pelo aluno Brasil, qual o valor numérico de C?
Provas
A aluna Estrela, que adora itens de papelaria, gastou 3/5 da quantia que tinha com canetinhas e 25% do que lhe restou com post-it, ficando ainda com 45 reais. Quanto a aluna Estrela tinha inicialmente?
Provas
Utilize o texto e a tabela a seguir para resolver à questão.
Ziguifreudo promoveu um bazar de brinquedos entre seus amigos e propôs a seguinte tabela de valores:
|
TABELA DE VALORES |
|
|
"PROMOÇÃO ENIGMÁTICA!" |
|
|
ITEM |
VALOR |
|
7 bolas |
valem 14 carrinhos |
|
4 carrinhos -- |
valem 2 bonecos |
|
16 bonecos |
R$ 112,00 |
Se alguém comprar uma bola, quatro carrinhos e dois bonecos nesse bazar pagará o valor de
Provas
Utilize o texto e a tabela a seguir para resolver à questão.
Ziguifreudo promoveu um bazar de brinquedos entre seus amigos e propôs a seguinte tabela de valores:
|
TABELA DE VALORES |
|
|
"PROMOÇÃO ENIGMÁTICA!" |
|
|
ITEM |
VALOR |
|
7 bolas |
valem 14 carrinhos |
|
4 carrinhos -- |
valem 2 bonecos |
|
16 bonecos |
R$ 112,00 |
De acordo com a tabela de valores proposta, conclui-se que o valor de cada bola é
Provas
Leia o texto IV para responder à questão.
TEXTO IV

De acordo com o texto IV, deve-se consumir água porque
Provas
Leia o texto IV para responder à questão.
TEXTO IV

Marque a alternativa em que a palavra "refrescar", presente na frase "a água ajuda a refrescar a temperatura do nosso corpo", no sexto quadrinho do texto IV, foi substituída por uma com sentido contrário.
Provas
Leia o texto IV para responder à questão.
TEXTO IV

No terceiro quadrinho, do texto IV, uma das personagens conversa com o sorveteiro, apresentando a seguinte fala: "Seu Zico! Me dá uma caco-cola, por favor?". No trecho em destaque, o ponto de interrogação indica que a personagem deseja
Provas
TEXTO IlI
TADEU X MARIA ANGÉLICA
Por José Roberto Torero

No começo, isso não era um grande problema. Maria Angélica não se importava quando s Tadeu comemorava as vitórias do time dele e Tadeu até dava parabéns para Maria Angélica quando o clube dela vencia. Mas talvez isso só acontecesse porque, na verdade, os dois times eram muito ruins, e as vitórias, muito raras.
Então, no campeonato deste ano, as coisas mudaram. Novos reforços foram apresentados, técnicos foram contratados, as equipes melhoraram e as torcidas começaram a ter esperanças.
As coisas mudaram tanto que os dois times chegaram à final do torneio. Tadeu comprou um uniforme azul e amarelo para ir ao estádio. Maria Angélica foi com uma enorme bandeira verde e branca.
Os dois se sentaram lado a lado durante a partida. Para evitar brigas, tentavam não vibrar demais quando seus times acertavam um lance, nem zombar do outro quando a equipe adversária cometia algum erro.
O zero a zero vinha mantendo a paz do casal, porém, no último lance do jogo, quando o time de Tadeu marcou o gol da vitória, ele não se conteve e gritou: "Gooooooooool!"
E assim mesmo, com dez letras "o".
Mas ele não parou por aí. Começou a dançar em volta de Maria Angélica enquanto cantava
"Ê, ô, ê, ô, o meu time é um terror, ê, ô, ê, ô, o seu time é perdedor".
Maria Angélica ficou verde de ódio. Então disparou:
- Tadeu, você passou dos limites. Cartão vermelho!
- Como assim, Maria Angélica, você está me expulsando de campo?c
- E do casamento. Você pisou na bola!
- Tá, eu exagerei, mas também não precisa entrar de sola.
- Agora é tarde. Você chutou nosso amor para escanteio!b
- Calma, eu não quero tirar o time de campoa. Vamos tentar um segundo tempo ...
- Não, senhor. Você já estava na marca do pênalti. Pode ir para o chuveiro!e
- Quem sabe uma prorrogação?
- Não. Fim de jogo.d
Tadeu sentou na arquibancada, apoiou a cabeça nas mãos e disse:
- Tudo bem, Maria Angélica, se você quer que eu pendure as chuteiras, é assim que vai ser.
Mas isso me deixa muito triste porque a gente fazia uma tabelinha e tanto. Eu acho que você bate um bolão e sempre que eu chegava em casa corria para o abraço. Sabe, eu vestia a camisa do nosso casamento ... Eu jogava por amor ...
Aquela declaração deixou os olhos de Maria Angélica encharcados como um Maracanã sem drenagem. Então ela jogou longe sua bandeira e pulou sobre Tadeu como se ele tivesse marcado um gol decisivo.
Tadeu olhou fundo nos olhos de Maria Angélica e, com voz emocionada, cantou: "Ê, ô, ê, ô, nosso amor é um terror!"
- Tadeu, foi a coisa mais linda que alguém já me disse. Então os dois beijaram-se, fizeram as pazes e viveram felizes para sempre.
Ou, pelo menos, até a próxima final de campeonato.
Conto de José Roberto Torero, ilustrado por
Fido Nesti Disponível em: <www.novaescola.org.br>. Acesso em: 16 set. 2022.
O autor apresenta um tom leve ao enredo, na medida em que
Provas
TEXTO IlI
TADEU X MARIA ANGÉLICA
Por José Roberto Torero

No começo, isso não era um grande problema. Maria Angélica não se importavae quando s Tadeu comemorava as vitórias do time dele e Tadeu até dava parabéns para Maria Angélica quando o clube dela vencia. Mas talvez isso só acontecesse porque, na verdade, os dois times eram muito ruins, e as vitórias, muito raras.
Então, no campeonato deste ano, as coisas mudaram. Novos reforços foram apresentados, técnicos foram contratados, as equipes melhoraram e as torcidas começaram a ter esperanças.
As coisas mudaram tanto que os dois times chegaram à final do torneio. Tadeu comprou um uniforme azul e amarelo para ir ao estádio. Maria Angélica foi com uma enorme bandeira verde e branca.
Os dois se sentaram lado a lado durante a partida. Para evitar brigas, tentavam não vibrar demais quando seus times acertavam um lance, nem zombar do outro quando a equipe adversária cometia algum erro.
O zero a zero vinha mantendo a paz do casal, porém, no último lance do jogo, quando o time de Tadeu marcou o gol da vitória, ele não se conteve e gritou: "Gooooooooool!"
E assim mesmo, com dez letras "o".
Mas ele não parou por aí. Começou a dançar em volta de Maria Angélica enquanto cantava
"Ê, ô, ê, ô, o meu time é um terror, ê, ô, ê, ô, o seu time é perdedor".
Maria Angélica ficou verde de ódio. Então disparou:
- Tadeu, você passou dos limites. Cartão vermelho!
- Como assim, Maria Angélica, você está me expulsando de campo?
- E do casamento. Você pisou na bola!
- Tá, eu exagerei, mas também não precisa entrar de sola.
- Agora é tarde. Você chutou nosso amor para escanteio!
- Calma, eu não quero tirar o time de campo. Vamos tentar um segundo tempo ...
- Não, senhor. Você já estava na marca do pênalti. Pode ir para o chuveiro!
- Quem sabe uma prorrogação?
- Não. Fim de jogo.
Tadeu sentou na arquibancada, apoiou a cabeça nas mãos e disse:
- Tudo bem, Maria Angélica, se você quer que eu pendure as chuteiras, é assim que vai ser.
Mas isso me deixa muito triste porque a gente fazia uma tabelinha e tanto. Eu acho que você bate um bolão e sempre que eu chegava em casa corria para o abraço. Sabe, eu vestia a camisa do nosso casamento ... Eu jogava por amor ...
Aquela declaração deixou os olhos de Maria Angélica encharcados como um Maracanã sem drenagem. Então ela jogou longe sua bandeira e pulou sobre Tadeu como se ele tivesse marcado um gol decisivo.
Tadeu olhou fundo nos olhos de Maria Angélica e, com voz emocionada, cantou: "Ê, ô, ê, ô, nosso amor é um terror!"
- Tadeu, foi a coisa mais linda que alguém já me disse. Então os dois beijaram-se, fizeram as pazes e viveram felizes para sempre.
Ou, pelo menos, até a próxima final de campeonato.
Conto de José Roberto Torero, ilustrado por
Fido Nesti Disponível em: <www.novaescola.org.br>. Acesso em: 16 set. 2022.
Que expressão ou termo é retomada(o) pela palavra em negrito do trecho: "No começo, isso não era um grande problema" ?
Provas
Caderno Container