Foram encontradas 487 questões.
Em associações entre estruturas metálicas e alvenaria de blocos, pinos de cisalhamento são dispositivos de
Provas
Considerando-se que, em um concreto, é utilizado um cimento portland CP-II-E 32, a resistência máxima que pode ser atingida por esse concreto é de 32 MPa?
Provas
Para a apresentação de um conjunto musical num parque, deseja-se construir um palco que, em planta, é triangular. Se dois dos lados do triângulo medem, respectivamente, 6 m e 10 m, então a maior área possível desse palco triangular é
Provas
Considerando uma viga com dimensões 0,20 m de base, 0,40 m de altura e 3,00 m de comprimento, com espaçamento entre barras horizontais superiores e inferiores de 28 mm, entre estribos de 150 mm, e considerando que se deve utilizar sempre o maior diâmetro possível de agregado graúdo, será adotado !$ \Phi !$ Máx do agregado graúdo igual a
Provas
Efeitos de 2.ª ordem, segundo a NBR 6118/03, são aqueles que, somados aos obtidos numa análise de 1.ª ordem, permitem que
Provas
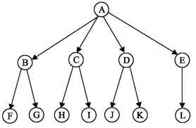
Considere a seguinte estrutura de dados:

Supondo que sobre essa estrutura foi aplicado um algoritmo de busca em profundidade (Deep First Search), partindo-se do nó A, assinale a alternativa que apresenta uma lista com os 8 primeiros nós visitados, coerente com essa forma de busca.
Provas
No jantar de um grupo de amigos, a sobremesa é uma salada de frutas que está acondicionada numa fôrma circular de 8 cm de raio e que é suficiente para 2 pessoas. Para que a razão entre o número de pessoas e a área da fôrma se mantenha constante, considera-se que uma forma circular de 16 cm de raio seja suficiente para
Provas
Considerando um vão de 10 m para uma viga bi-apoiada executada em concreto armado, deve ser adotada, em um pré-dimensionamento, uma altura de
Provas
- FundamentosOperações FundamentaisDivisão
- FundamentosUnidades de MedidaConversão de Medidas
- FundamentosRegra de TrêsRegra de Três Simples
Um metro de fio de uma liga metálica pesa 380 g e é utilizado para fazer pregos de 0,09 m de comprimento. Com um rolo de 27,36 kg, o número máximo de pregos que é possível fazer é
Provas
Pode-se afirmar que, segundo a NBR 6118/03, a fissuração em estruturas de concreto armado é
Provas
Caderno Container