Foram encontradas 100 questões.
Em 2020, um incêndio atingiu o Parque Nacional da Tijuca e se alastrou por uma área equivalente a trinta campos de futebol. A causa provável do incêndio foi a queda de balões e o combate ao fogo foi feito por brigadistas e voluntários do Parque, junto com equipes do Corpo de Bombeiros do Rio de Janeiro.
Na Floresta da Tijuca, as angiospermas constituem a maioria das espécies de plantas. Este grupo vegetal é formado por plantas
Provas
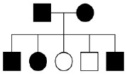
Analise o heredograma abaixo que mostra uma doença de herança autossômica representada pelos quadrados e círculos em branco.

Com relação a essa doença, avalie as afirmativas a seguir e assinale (V) para a verdadeira e (F) para a falsa.
( ) A doença tem herança autossômica recessiva.
( ) A geração parental é, obrigatoriamente, heterozigota.
( ) Entre os filhos do casal representado no heredograma, os que não apresentam a doença têm 2/4 de chance de serem heterozigotos.
As afirmativas são, na ordem apresentada, respectivamente,
Provas
Se você nunca sofreu uma queimadura por água-viva, certamente conhece alguém que já passou por isso. "Até abril é quando ocorre a maior quantidade de queimaduras deste tipo na orla das praias”, afirma uma capitã do GBMar (Grupamento de Bombeiros Marítimo), unidade operacional do Corpo de Bombeiros especializada em atividades aquáticas.
(Adaptado de Revista Crescer, 28/01/2022)
As águas-vivas apresentam em sua superfície corporal células urticantes com nematocistos em seu interior, responsáveis pelos acidentes mencionados acima.
Esses animais pertencem ao filo
Provas
No interior das células, os processos de fotossíntese e respiração celular realizam as transformações de energia necessárias à manutenção da vida.
A figura a seguir mostra esses processos, de forma simplificada.

Sobre as organelas e os processos representados, assinale a afirmativa correta.
Provas
No portal do CBMERJ são encontradas diversas cartilhas para consulta, entre elas, a intitulada “Varíola dos macacos, o que você precisa saber”. Essa cartilha contém informações sobre os sintomas da doença, seu agente etiológico e as formas de transmissão, tratamento e prevenção.
Com relação à varíola dos macacos e a seu agente etiológico, analise as afirmativas a seguir.
I. A doença é causada por vírus, organismos cuja ausência de organização celular e metabolismo próprio os torna parasitas intracelulares obrigatórios.
II. Não há tratamento específico e os sintomas desaparecem espontaneamente entre duas e três semanas, graças à imunidade ativa, na qual o organismo da pessoa infectada gera anticorpos que combatem a doença.
III. Assim como as arboviroses dengue e febre amarela, o agente etiológico da varíola dos macacos é transmitido por meio da picada da fêmea de mosquitos.
Está correto o que se afirma em
Provas
Os organismos multicelulares são constituídos por diversos tipos de células. O esquema a seguir apresenta neurônios que exemplificam o ajuste entre forma e função que surge ao longo da evolução. A habilidade dos neurônios em receber e transmitir informações baseia-se em sua organização celular altamente especializada.

No esquema acima, a especialização que permite a maior velocidade na condução do impulso nervoso em neurônios de vertebrados está indicada pelo número
Provas
A taxonomia é o ramo da biologia que nomeia e classifica os seres vivos, ordenando-os em grupos de acordo com o maior ou o menor grau de características compartilhadas entre eles. Atualmente, as unidades de classificação dos seres vivos mais abrangentes são os reinos e os domínios.
Com relação a essas unidades, analise as afirmativas a seguir e assinale (V) para a verdadeira e (F) para a falsa.
( ) No sistema de classificação em cinco reinos, apenas um deles, o reino Protista, agrupa todos os organismos procariontes.
( ) Os domínios são categorias mais abrangentes do que os reinos. Um único domínio, Eukarya, inclui organismos de quatro reinos – Protista, Fungi, Plantae e Animalia.
( ) Nos domínios Bacteria e Archaea podem ser encontrados organismos autótrofos ou heterótrofos. Já o domínio Eukarya engloba apenas organismos heterótrofos.
As afirmativas são, na ordem apresentada, respectivamente,
Provas
O Corpo de Bombeiros atua, com frequência, em ocorrências que envolvem a contenção e captura de animais silvestres, especialmente serpentes. A chegada do verão, as construções próximas à região de mata e a destruição do habitat natural são fatores que ajudam a explicar, segundo especialistas, as aparições desses animais em áreas urbanas.
As serpentes são répteis classificados no grupo dos lepidosauros e apresentam características como
Provas
Assinale a opção que apresenta, respectivamente, um autor da literatura portuguesa e outro da literatura brasileira, que pertencem ao mesmo movimento literário.
Provas
Assinale a opção que apresenta a frase que se refere ao romance Dom Casmurro, de Machado de Assis.
Provas
Caderno Container