Foram encontradas 60 questões.
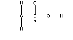
Observe a fórmula estrutural plana da molécula do ácido acético.

Nessa estrutura, há:
Provas
Tendo em mente as propriedades observadas na tabela periódica, marque V para as afirmativas verdadeiras e F para as falsas.
( ) Os elementos do Grupo 1A, os metais alcalinos, sofrem reações similares com água e formam compostos do tipo MOH (M= Li, Na, K).
( ) Os elementos do Grupo 2A, os metais alcalinos terrosos, sofrem reações com a água e formam compostos do tipo MOH(M= Mg, Ca, Sr, Ba).
( ) Os elementos do Grupo 7A, os halogênios, sofrem reações similares com metais e outros não metais.
( ) Considerando a família 4A, apenas C e Si reagem com outros elementos para formar compostos semicondutores.
Assinale a sequência correta.
Provas
- Química InorgânicaSoluções e Substâncias InorgânicasSoluções: características, tipos de concentração, diluição, mistura, titulação e soluções coloidais
Analise as seguintes reações em solução aquosa:
I -Pb(NO3)2 + K2CrO4 → PbCrO4 + 2 KNO3
II- FeCl3 + 3 NaOH → Fe(OH)3 + 3 NaCl
III- BaNO3 + NaOH → Ba(OH)2 + NaNO3
IV- 2 AgNO3 + K2CrO4 → Ag2CrO4 + 2 KNO3
V- MgCl2 + 2 NaOH → Mg(OH)2 + 2 NaCl
Considerando os produtos de cada reação, somente não formará precipitado na reação:
Provas
Considerando conceitos de ligações covalentes e polaridade molecular, assinale a alternativa que apresenta apenas moléculas apolares.
Provas
A sacarina, cuja fórmula estrutural plana é visualizada abaixo, é uma substância cerca de 300 vezes mais doce que a sacarose (açúcar de mesa). Supondo que este edulcorante seja consumido na forma molecular, assinale a alternativa correta que apresenta a quantidade de matéria (em mols) de sacarina e a quantidade de enxofre, em miligramas, presentes em 457,5 mg de sacarina.
Dados: H=1; C=12; N=14; O =16; S=32 Constante de Avogadro = 6,0 x 1023 |

FÓRMULA ESTRUTURAL PLANA DA SACARINA
Provas
Considere que o Samu, em determinado período, atendeu 3135 ocorrências. Desse total, em relação ao tipo de acidente atendido, x foram motociclísticos, y traumas, z automobilísticos, v atropelamentos e w ciclísticos. Os números desses acidentes são diretamente proporcionais a 33, 13, 6, 3 e 2, respectivamente. A partir dessas informações, assinale a afirmativa INCORRETA.
Provas
Nove médicos da Polícia Militar, todos de igual eficiência, trabalhando 6 horas por dia no Ambulatório Central, atendem 54 soldados por dia. O número de soldados que serão atendidos por 6 desses médicos, trabalhando 8 horas por dia, durante uma semana de 6 dias, será igual a
Provas
Em 2007, a cidade de Jacksonville, nos Estados Unidos, recebeu um caminhão especial para incêndios em aeroportos, que carrega 22.800 litros de água, o que daria para encher uma piscina que mede 5,4 m de comprimento, 3,5 m de largura e
Obs.: Considere o valor da profundidade com uma única casa decimal. |
Provas
Para ingresso no Corpo de Bombeiros do Estado de Mato Grosso, alguns testes devem ser realizados, dentre eles o Teste de Aptidão Física (TAF), cujo protocolo de aplicação é apresentado a seguir:
1. O Teste de Aptidão Física constará de 5 (cinco) exercícios, que obedecerá a seguinte sequência:
1.1. Corrida de 12 (doze) minutos;
1.2. Barra Fixa (flexão/sustentação);
1.3. Abdominal Remador;
1.4. Meio Sugado;
1.5. Natação 100m.
Na realização de todos os testes físicos, o candidato terá apenas uma tentativa para execução do exercício. Será considerado aprovado no Teste de Aptidão Física somente o candidato que alcançar, na soma dos pontos dos exercícios dos itens 1.1 ao 1.5, nota igual ou superior a 15 (quinze) pontos, não podendo tirar nota inferior a 1 em qualquer dos exercícios, de acordo com as tabelas a seguir:
Masculino | |||||
Nota | Corrida (12 min) | Barra Fixa (repetições | Meio Sugado (repetições) | Abdominal Remador (remador) | Natação 100m (tempo) |
5 | 2800 | 8 | 16 | 47 | Até 1’40” |
4 | 2700 | 7 | 15 | 45 | De 1’41” a 1’50” |
3 | 2600 | 6 | 14 | 43 | De 1’51” a 2’00” |
2 | 2500 | 5 | 13 | 41 | De 2’01” a 2’15” |
1 | 2400 | 4 | 12 | 39 | De 2’16” a 2’30” |
Feminino | |||||
Nota | Corrida (12 min) | Barra Fixa (repetições | Meio Sugado (repetições) | Abdominal Remador (remador) | Natação 100m (tempo) |
5 | 2400 | 15” | 13 | 37 | Até 2 ’00” |
4 | 2300 | 14” | 12 | 35 | De 2’01” a 2’10” |
3 | 2200 | 13” | 11 | 33 | De 2’11” a 2’20” |
2 | 2100 | 12” | 10 | 31 | De 2’21” a 2’35” |
1 | 2000 | 11” | 9 | 29 | De 2’36” a 2’50” |
Na corrida, na barra fixa, no meio sugado, na abdominal remador e na natação 100m, o candidato José fez, De 2’36” a 2’50” respectivamente, 2800, 4, 14, 41 e 1’55”, enquanto a candidata Maria fez 2200, 11”, 10, 35 e 2’05”. A partir dessas informações, assinale a afirmativa correta.
Provas
Em uma pesquisa realizada sobre a percepção dos policiais militares do Estado de Mato Grosso quanto a sua valorização profissional, obteve-se o seguinte conjunto de dados: {3,5; 3,5; 3,7; 3,3; 3,9; 3,5; 3,5; 3,2; 3,0; 3,7; 3,8; 5,2}. Assinale a alternativa que apresenta a mediana desse conjunto.
Provas
Caderno Container